Đề thi thử vào 10 môn Toán THPT Hoằng Hóa năm 2022 Đề thi thử vào lớp 10 môn Toán năm 2022
Đề thi thử vào lớp 10 Hoằng Hóa
KhoaHoc mời các bạn cùng tham khảo Đề thi thử vào 10 môn Toán THPT Hoằng Hóa năm 2022 nhằm ôn luyện kiến thức Toán 9 cũng như làm quen cấu trúc đề thi vào lớp 10.
- Đề thi khảo sát chất lượng Toán 9
- Đề thi thử vào 10 môn Toán trường THCS Ái Mộ năm 2022
- Đề thi thử Toán vào 10 lần 3 trường THCS & THPT Lương Thế Vinh năm 2022
- Đề thi thử vào 10 môn Toán Bắc Ninh năm 2022
ĐỀ THI THỬ VÀO LỚP 10 - THPT
NĂM HỌC: 2022 - 2023
Môn thi: Toán 120 phút (không kể thời gian giao đề)
Thời gian: 120 phút (không kể thời gian giao đề)
Câu 1. (2,0 điểm)
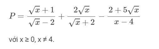
Cho biểu thức:

1. Rút gọn biểu thức P.
2. Tìm các giá trị của x để P = 3/2.
Câu 2. (2,0 điểm)
1. Trong mặt phẳng tọa độ Oxy, cho đường thẳng (d) có phương trình: y = (2m - 1)x + m (m là tham số). Tìm m để đường thẳng (d) đi qua điểm P(1; 2).
2. Giải hệ phương trình:


Đề thi thử vào lớp 10 môn Toán năm 2022 được KhoaHoc cập nhật và đăng tải nhanh nhất với các đề thi đến từ nhiều trường học trên khắp cả nước. Đề thi giúp các em học sinh củng cố, ôn luyện lại kiến thức môn Toán 9 đã được học đồng thời có cơ hội làm quen cấu trúc đề thi thử vào 10 nhằm đạt được kết quả cao trong bài thi chính thức.