Đáp án câu 1 đề 4 kiểm tra học kì 2 hóa 8
II. Tự luận
Câu 1: Dẫn luồng khí CO dư đi qua 20,05 gam hỗn hợp hai oxit
và $Fe_{2}O_{3}$ ở nhiệt độ cao, thu được hỗn hợp hai kim loại và khí $CO_{2}$. Dẫn khí $CO_{2}$ sinh ra vào dung dịch $Ca(OH)_{2}$ dư, thu được 35 gam kết tủa.
a. Viết phản ứng xảy ra.
b. Tính khối lượng mỗi kim loại tạo thành.
c. Tính thành phần phần trăm theo khối lượng mỗi oxit trong hỗn hợp ban đầu.
Bài làm:
II. Tự luận
Câu 1:
a. Phản ứng:

b.
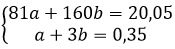
Gọi a là số mol của ZnO và b là số mol của ![]()
Theo đề bài, ta có hệ phương trình

Giải hệ phương trình, ta có: a = 0,05; b = 0,1
= 0,05 x 65 = 3,25 (gam);
= 0,2 x 56 = 11,2(gam)
c.

Xem thêm bài viết khác
- Đáp án trắc nghiệm đề 4 kiểm tra học kì 2 hóa 8
- Hóa học 8: Đề kiểm tra học kỳ 2 (Đề 7)
- Đáp án câu 3 đề 2 kiểm tra học kì 2 hóa 8
- Đáp án trắc nghiệm đề 1 kiểm tra học kì 2 hóa 8
- Hóa học 8: Đề kiểm tra học kỳ 2 (Đề 9)
- Đáp án đề 6 kiểm tra học kì 2 hóa 8
- Đáp án trắc nghiệm đề 2 kiểm tra học kì 2 hóa 8
- Hóa học 8: Đề kiểm tra học kỳ 2 (Đề 5)
- Đáp án câu 2 đề 3 kiểm tra học kì 2 hóa 8
- Đáp án câu 2 đề 2 kiểm tra học kì 2 hóa 8
- Đáp án câu 1 đề 1 kiểm tra học kì 2 hóa 8
- Đáp án câu 2 đề 1 kiểm tra học kì 2 hóa 8