- Tất cả
-
Tài liệu hay -
Toán Học -
Soạn Văn - Soạn đầy đủ
- Tiếng Việt 2 tập 2 KNTT
- Tiếng Việt 2 CTST
- Tiếng Việt 2 sách Cánh Diều
- Tiếng Việt 3 tập 2
- Tiếng Việt 3 tập 1
- Tiếng Việt 4 tập 2
- Tiếng Việt 4 tập 1
- Tiếng Việt 5 tập 2
- Tiếng Việt 5 tập 1
- Soạn văn 6
- Soạn văn 7
- Soạn văn 8 tập 1
- Soạn văn 8 tập 2
- Soạn văn 9 tâp 1
- Soạn văn 9 tập 2
- Soạn văn 10 tập 1
- Soạn văn 10 tập 2
- Soạn văn 11
- Soạn văn 12
- Soạn ngắn gọn
- Soạn văn 12 ngắn gọn tập 1
- Soạn văn 12 ngắn gọn tập 2
- Soạn văn 11 ngắn gọn tập 1
- Soạn văn 11 ngắn gọn tập 2
- Soạn văn 10 ngắn gọn tập 1
- Soạn văn 10 ngắn gọn tập 2
- Soạn văn 9 ngắn gọn tập 1
- Soạn văn 9 ngắn gọn tập 2
- Soạn văn 8 ngắn gọn tập 1
- Soạn văn 8 ngắn gọn tập 2
- Soạn văn 7 ngắn gọn tập 1
- Soạn văn 7 ngắn gọn tập 2
- Ngữ văn VNEN
- Đề thi THPT QG môn Ngữ Văn
- Soạn đầy đủ
-
Tiếng Anh -
Vật Lý -
Hóa Học -
Sinh Học -
Lịch Sử -
Địa Lý -
GDCD -
Khoa Học Tự Nhiên -
Khoa Học Xã Hội
-
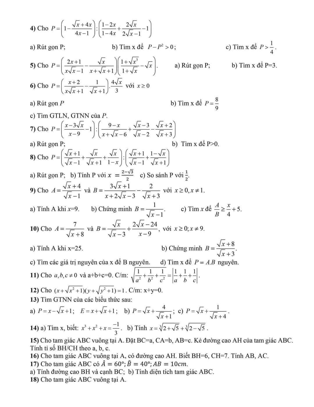
Đề cương ôn tập giữa kì 1 Toán 9 năm 2022 - 2023 trường THCS & THPT Nguyễn Tất Thành Đề cương ôn tập Toán 9 giữa học kì 1
Đề cương ôn tập giữa kì 1 lớp 9 môn Toán
KhoaHoc mời các bạn cùng theo dõi nội dung Đề cương ôn tập giữa kì 1 Toán 9 năm 2022 - 2023 trường THCS & THPT Nguyễn Tất Thành được chúng tôi sưu tầm và chia sẻ trong bài viết dưới đây.






Đề cương ôn tập giữa kì 1 Toán 9 năm 2022 - 2023 trường THCS & THPT Nguyễn Tất Thành được KhoaHoc sưu tầm nhằm mang đến cho quý thầy cô cùng các em học sinh tài liệu tham khảo hữu ích. Đây là tài liệu giúp các em học sinh lớp 9 chuẩn bị thật tốt kiến thức cho bài thi giữa học kì sắp tới cũng như cho các thầy cô hướng dẫn ôn tập môn Toán giữa học kì I cho các em học sinh.
Tài liệu tham khảo khác
Chủ đề liên quan
Mới nhất trong tuần
- Suy nghĩ của em về truyện ngụ ngôn Đẽo cày giữa đường Suy nghĩ về truyện ngụ ngôn Đẽo cày giữa đường
- Lập dàn ý cho đề 4 mục I Lập dàn bài cho đề 4 trang 25 SGK Ngữ văn 9 tập 2
- Bài văn mẫu số 5 lớp 9 đề 3 Suy nghĩ về hiện tượng Việt Nam đạt được nhiều thành tích cao trong các cuộc thi quốc tế
- Bài văn mẫu số 5 lớp 9 đề 2 Suy nghĩ về những người không chịu thua số phận
- Bài văn mẫu số 5 lớp 9 đề 1 Hãy nêu suy nghĩ của em về Bác Hồ kính yêu
- Bài văn mẫu số 5 lớp 9 đề 4 Hãy nêu suy nghĩ của em về hiện tượng vứt rác thải ra nơi công cộng
- Kể lại một câu chuyện đáng nhớ của bản thân Kể lại một câu chuyện đáng nhớ của bản thân trong đó có sử dụng các yếu tố nghị luận và miêu tả nội tâm
- Cảm nhận vẻ đẹp người lính qua bài thơ Đồng chí của Chính Hữu Phân tích hình ảnh người lính trong bài Đồng chí
- Suy nghĩ về nhân vật ông Hai trong truyện ngắn Làng của Kim Lân Bài mẫu suy nghĩ về nhân vật ông Hai trong truyện ngắn Làng siêu hay
- Giá trị nội dung và nghệ thuật qua bài thơ Sang thu của Hữu Thỉnh Nội dung và nghệ thuật của bài thơ Sang thu