Đề thi giữa kì 1 lớp 7 môn KHTN sách Chân trời sáng tạo - Đề 2 Đề kiểm tra giữa kì 1 môn KHTN 7 năm 2022 - 2023 sách Chân trời sáng tạo
Đề thi giữa kì 1 lớp 7 môn KHTN
Đề thi giữa kì 1 lớp 7 môn KHTN sách Chân trời sáng tạo năm học 2022 - 2023 (Đề số 2) được KhoaHoc tổng hợp và đăng tải trong bài viết dưới đây nhằm hỗ trợ học sinh ôn luyện bài kiểm tra giữa kì 1 lớp 7.
- Đề thi giữa kì 1 lớp 7 môn KHTN sách Chân trời sáng tạo
- Đề thi giữa kì 1 lớp 7 môn GDCD sách Chân trời sáng tạo
- Đề thi giữa kì 1 lớp 7 môn Văn sách Chân trời sáng tạo
Đề kiểm tra giữa kì 1 Khoa học tự nhiên 7
I Trắc nghiệm: (4 diểm)
Câu 1: Cho cac bươc thực hiện ki năng đo sau:
(1) Thực hiện phep đo, ghi kết quả đo và xử lí số liệu đo.
(2) Nhận xet độ chính xác của kết quả đo, căn cứ vào loại dụng cụ đo và cách đo.
(3) Ước lượng để lựa chọn dụng cụ/ thiết bị đo phù hợp.
(4) Phân tích kết quả và thảo luận về kết quả nghiên cứu thu được.
Để thực hiện đo ta thực hiện theo các bước sau:
- 3 -1 - 2 - 4
- 1 - 4 - 2 - 3
- 1 - 3 - 2 - 4
- 4 -3 - 2 -1
Câu 2:
Hiện tương nào sau đây không phải là hiện tương tự nhiên thông thường trên trai đất?

Câu 3: Phương pháp tìm hiểu môn khoa học tự nhiên gồm các nội dung:
- Đưa ra các dự đoán khoa học để giải quyết các vấn đề.
- Thực hiện kế hoạch kiểm tra dự đoán.
- Viết báo cáo. Thảo luận và trình bày báo cáo khi được yêu cầu.
- Lập kế hoạch kiểm tra dự đoán.
- Đề xuất vấn đề cần tìm hiểu.
Thứ tự đúng của phương pháp tìm hiểu môn khoa học tự nhiên là:
- 1 - 2 -3 -4 -5.
- 5 - 1 - 4 - 2 - 3.
- 1 - 3 - 5 - 2 -4.
- 5 - 4 -3 - 2 -1.
Câu 4: Trong các đồng hồ sau đồng hồ nào là dồng hồ đo thơi gian hiện số sử dụng công
quang?
- Đồng hồ nước.
- Đồng hồ cát.
- Đồng hồ đo thơi gian hiện số.
- Đồng hồ điện tử.
Câu 5: Nguyên tử có khả năng liên kết với nhau do nhơ có loại hạt nào?
- Electron.
- Proton.
- Nơtron.
- Tất cả đều sai.
Câu 6: Nguyên tử khối là khối lượng của một nguyên tử tính bằng đơn vị nào?
- gam
- kilôgam
- amu
- cả 3 đơn vị trên
Câu 7: Đây là sơ đồ nguyên tử nguyên tố nào?

- Na.
- N.
- Al.
- O.
Câu 8: Nguyên tố Aluminium kí hiệu là gì:
- Al.
- Fe.
- Ag.
- Ar.
Câu 9: Đơn chất là chất tạo nên từ:
- một chất.
- một nguyên tố hoá học.
- một nguyên tử.
- một phân tử.
Câu 10: Dựa vào dấu hiệu nào sau đây để phân biệt phân tử đơn chất với phân tử hợp chất?
- Hình dạng của phân tử.
- Kích thước của phân tử.
- Số lượng nguyên tử trong phân tử.
- Nguyên tử cùng loại hay khác loại.
Câu 11: Các chất là hợp chất gồm:
- NO2; Al2O3; N2
- HgSO4, Cl2, ZnO
- CaO, MgO, H2SO4
- H2O, Ag, NO
Câu 12: Phân tử khối của hợp chất H2SO4 là
- 68.
- 78.
- 88.
- 98.
Câu 13: Bảng tuần hoàn các nguyên tố hóa học được sắp xếp theo nguyên tắc
- chiều nguyên tử khối tăng dần.
- chiều điện tích hạt nhân tăng dần.
- tính kim loại tăng dần.
- tính phi kim tăng dần.
Câu 14: Số thứ tự nhóm trong bảng hệ thống tuần hoàn cho biết
- số electron lớp ngoài cùng.
- số thứ tự của nguyên tố.
- số hiệu nguyên tử.
- số lớp electron.
Câu 15 : Dãy nào sau đây thể hiện mức độ hoạt động hóa học của kim loại tăng dần:A. Be, Fe, Ca, Cu.
- Be, Fe, Ca, Cu.
- Ca, K, Mg, Al.
- Al, Zn, Co, Ca.
- Li, Na, K, Cs.
Câu 16: Dãy các nguyên tố sắp xếp theo chiều tính phi kim tăng dần:
- Mg, Na, Si, P.
- Ca, P, B, C.
- C, N, O, F.
- O, N, C, B.
II Tự luận: ( 6 điểm)
Câu 17. (0,5 điểm): Em hãy cho biết các kĩ năng tiến trình học tập môn Khoa học tự nhiên?
Câu 18. (1,0 điểm): Xác định hoá trị của các nguyên tố có trong hợp chất sau: CaO; CH4
Câu 19 (2,0 điểm):
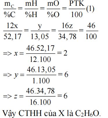
Tìm CTHH của hợp chất X có thành phần phần trăm theo khối lượng các nguyên tố gồm: 52,17% cacbon, 13,05% hidro và 34,78 % oxi. Biết phân tử khối của X là 46.
Câu 20 (1,5 điểm):
a) Nguyên tố hoá học là gì?
b) Viết kí hiệu hoá học của các nguyên tố sau: Chlorine, Iron,
c) Gọi tên các nguyên tố có kí hiệu hoá học sau: O, N
Câu 21 (1 điểm): Nguyên tố A có số hiệu nguyên tử là 11, chu kì 3, nhóm I trong bảng hệ thống tuần hoàn. Hãy cho biết cấu tạo nguyên tử của A.
Đáp án đề thi giữa kì 1 Khoa học tự nhiên 7
Phần trắc nghiệm:
(Mỗi câu chon đúng đươc 0,25 điểm)
| 1 | 2 | 3 | 4 | 5 | 6 | 7 | 8 | 9 | 10 | 11 | 12 | 13 | 14 | 15 | 16 |
| A | C | B | B | A | C | B | A | B | D | C | D | B | A | D | C |
Phần tự luận:
17.
Kĩ năng quan sát, phân loại
Kĩ năng liên kết
Kĩ năng đo
Kĩ năng dự báo
18.
Ca: II
C: IV
19.
CTHH chung của X là CxHyOz (x, y, z N*)
Theo đề bài ta có:

20.
a) Nguyên tố hoá học là tập hợp những nguyên tử cùng loại và có cùng
số proton trong hạt nhân
b) Kí hiệu hoá học của Chlorine: Cl, Iron: Fe
c) O: Oxygen, N: Nitrogen
21.
Cấu tạo nguyên tử của A:
- Số hiệu nguyên tử của A là 11 cho biết: natri ở ô số 11, điện tích hạt nhân nguyên tử natri là 11+; có 11 electron trong nguyên tử natri,
- Ở chu kì 3 → Có 3 lớp electron
- Ở nhóm I → Có 1 electron ở lớp ngoài cùng
Đề kiểm tra giữa kì 1 môn KHTN lớp 7 năm 2022 - 2023 sách Chân trời sáng tạo có đáp án được KhoaHoc tổng hợp và biên soạn chi tiết nhằm hỗ trợ học sinh có thêm tài liệu tham khảo hữu ích. Các em có thể ôn luyện kiến thức môn Khoa học tự nhiên 7 đã được học đồng thời làm quen cấu trúc đề kiểm tra giữa kì 1 lớp 7 nhằm đạt được kết quả tốt trong bài kiểm tra chính thức của bản thân.
Xem thêm bài viết khác
- Đề cương ôn tập giữa kì 1 Toán 7 trường THCS Nguyễn Tri Phương năm 2022 - 2023 Đề cương ôn tập Toán 7 giữa học kì 1
- Đề thi giữa kì 1 lớp 7 môn Toán trường Archimedes năm 2022 - 2023 Đề thi giữa kì 1 Toán 7
- Đề thi giữa kì 1 lớp 7 môn Toán trường THCS và THPT Lương Thế Vinh năm 2022 - 2023 Đề thi giữa kì 1 Toán 7 có đáp án
- Đề thi giữa kì 1 lớp 7 môn Toán trường THCS Chu Văn An năm 2022 - 2023 Đề thi giữa kì 1 Toán 7 có đáp án
- Đề thi giữa kì 1 lớp 7 môn Toán trường THCS Võ Trường Toản năm 2022 - 2023 Đề thi giữa kì 1 Toán 7 có đáp án
- Đề thi giữa kì 1 lớp 7 môn Văn năm 2022 - 2023 Đề thi giữa kì 1 Văn 7 (Có ma trận, đáp án)
- Đề thi giữa kì 1 lớp 7 môn Lịch sử - Địa lí sách Cánh diều Đề kiểm tra giữa kì 1 môn Lịch sử - Địa lí 7 năm 2022 - 2023 sách Cánh diều
- Đề thi giữa kì 1 lớp 7 môn Tin sách Cánh diều Đề kiểm tra giữa kì 1 môn Tin 7 năm 2022 - 2023 sách Cánh diều
- Đề thi giữa kì 1 lớp 7 môn GDCD sách Cánh diều Đề kiểm tra giữa kì 1 môn Công dân 7 năm 2022 - 2023 sách Cánh diều
- Đề thi giữa kì 1 lớp 7 môn Văn sách Cánh diều Đề kiểm tra giữa kì 1 môn Văn 7 năm 2022 - 2023 sách Cánh diều
- Đề thi giữa kì 1 lớp 7 môn KHTN sách Chân trời sáng tạo Đề kiểm tra giữa kì 1 môn KHTN 7 năm 2022 - 2023 sách Chân trời sáng tạo
- Đề thi giữa kì 1 lớp 7 môn Văn sách Chân trời sáng tạo Đề kiểm tra giữa kì 1 môn Văn 7 năm 2022 - 2023 sách Chân trời sáng tạo
- Đề thi giữa kì 1 lớp 7 môn GDCD sách Chân trời sáng tạo Đề kiểm tra giữa kì 1 môn Công dân 7 năm 2022 - 2023 sách Chân trời sáng tạo
- Đề thi giữa kì 1 lớp 7 môn GDCD sách Kết nối tri thức Đề kiểm tra giữa kì 1 môn Công dân 7 năm 2022 - 2023 sách Kết nối tri thức