Giải Câu 22 Bài 4: Khi nào góc xOy + góc yOz = góc xOz? sgk Toán 6 tập 2 Trang 82
Câu 22: Trang 82 - SGK Toán 6 tập 2
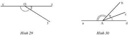
a) Đo các góc ở hình 29,30.
b) Viết tên các góc bù nhau ở hình 30.

Bài làm:
a) Trong hình 29, đo được:
![]()
Trong hình 30, đo được:
![]()
.
b) Các cặp góc bù nhau trong hình 30 là:
vì: \(\widehat{aAb}+ \widehat{bAd}=133^{0}+47^{0}=180^{0}\)
vì: \(\widehat{aAc}+ \widehat{cAd}=160^{0}+20^{0}=180^{0}\)
Xem thêm bài viết khác
- Giải Câu 40 Bài 8: Đường tròn sgk Toán 6 tập 2 Trang 92
- Giải bài 11: Tính chất cơ bản của phép nhân phân số sgk Toán 6 tập 2 Trang 37
- Giải sgk toán 6 tập 2: bài tập 3 trang 6
- Giải bài 15: Tìm một số biết giá trị một phân số của nó sgk Toán 6 tập 2 Trang 53
- Giải Câu 46 Bài 9: Tam giác sgk Toán 6 tập 2 Trang 95
- Giải Câu 16 bài 3: Số đo góc sgk Toán 6 tập 2 Trang 80
- Giải Câu 14 Bài 3: Số đo góc sgk Toán 6 tập 2 Trang 79
- Giải Câu 37 Bài 6: Tia phân giác của góc sgk Toán 6 tập 2 Trang 87
- Giải Câu 33 Bài 6: Tia phân giác của góc sgk Toán 6 tập 2 Trang 87
- Giải bài 8: Tính chất cơ bản của phép cộng phân số sgk Toán 6 tập 2 Trang 27
- Giải sgk toán 6 tập 2: bài tập 7 trang 8
- Đáp án đề 8 kiểm tra cuối năm toán 6