Giải câu 5 đề 18 ôn thi toán lớp 9 lên 10
Bài 5: (1,0 điểm)
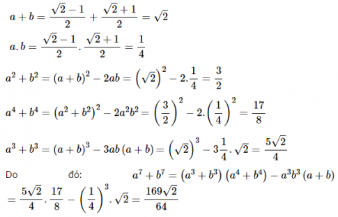
Cho:
. Tính $a^{7}+b^{7}$
Bài làm:

Xem thêm bài viết khác
- Đề thi tuyển sinh lớp 10 chuyên Toán Bắc Kạn năm 2022 Đề thi vào 10 chuyên Toán Bắc Kạn năm 2022
- Đáp án đề thi vào lớp 10 môn Toán Gia Lai năm 2022 Đề thi môn Toán vào lớp 10 tỉnh Gia Lai năm 2022
- Đáp án đề thi vào lớp 10 môn Toán Hà Tĩnh năm 2022 Đề thi môn Toán vào lớp 10 tỉnh Hà Tĩnh năm 2022
- Đề ôn thi môn toán lớp 9 lên 10 (đề 17)
- Đề thi thử vào lớp 10 môn Toán phòng GD Quảng Ninh năm 2022 Đề thi thử vào lớp 10 môn Toán 2022
- Đáp án đề thi vào lớp 10 môn Toán Hà Nam năm 2022 Đề thi môn Toán vào lớp 10 Hà Nam năm 2022
- Đề thi thử vào lớp 10 môn Toán phòng GD Long Biên, Hà Nội năm 2022 Đề thi thử vào lớp 10 môn Toán 2022
- Đề thi tuyển sinh lớp 10 chuyên Toán Kiên Giang năm 2022 Đề thi vào 10 chuyên Toán Kiên Giang năm 2022
- Đề thi thử vào lớp 10 môn Toán phòng GD Quốc Oai năm 2022 Đề thi thử vào lớp 10 môn Toán 2022
- Đáp án đề thi vào lớp 10 môn Toán Tây Ninh năm 2022 Đề thi môn Toán vào lớp 10 tỉnh Tây Ninh năm 2022
- Đáp án đề thi vào lớp 10 môn Toán Hải Dương năm 2022 Đề thi môn Toán vào lớp 10 tỉnh Hải Dương năm 2022
- Đề thi tuyển sinh lớp 10 chuyên Toán Đắk Nông năm 2022 Đề thi vào 10 chuyên Toán Đắk Nông năm 2022