Đề thi học kì 2 Toán 10 Trường THPT Triệu Quang Phục - Hưng Yên năm 2021 - 2022 Đề thi học kì 2 Toán 10 - có đáp án
Đề thi học kì 2 Toán 10 Trường THPT Triệu Quang Phục - Hưng Yên năm 2021 - 2022 được Khoahoc sưu tầm và đăng tải. Đề thi gồm có 35 câu hỏi trắc nghiệm và 3 câu hỏi tự luận kèm theo đáp án để các em so sánh, đánh giá kết quả. Dưới đây là nội dung đề thi, các em tham khảo nhé.
Đề thi học kì 2 Toán 10 Trường THPT Triệu Quang Phục năm 2021
Đề thi học kì 2 Toán 10 Trường THPT Triệu Quang Phục năm 2021



Đáp án đề thi học kì 2 Toán 10 Trường THPT Triệu Quang Phục năm 2021


Đề thi học kì 2 Toán 10 Trường THPT Triệu Quang Phục - Hưng Yên năm 2021 - 2022 được Khoahoc chia sẻ trên đây. Hy vọng với tài liệu này sẽ giúp ích cho các em có thêm tài liệu tham khảo, trau dồi kỹ năng giải đề thi cũng như chuẩn bị tốt cho bài kiểm tra cuối học kì 2 lớp 10 sắp tới. Chúc các em ôn thi tốt, ngoài ra các em có thể tham khảo thêm các môn học khác đều có tại tài liệu học tập lớp 10 này nhé.
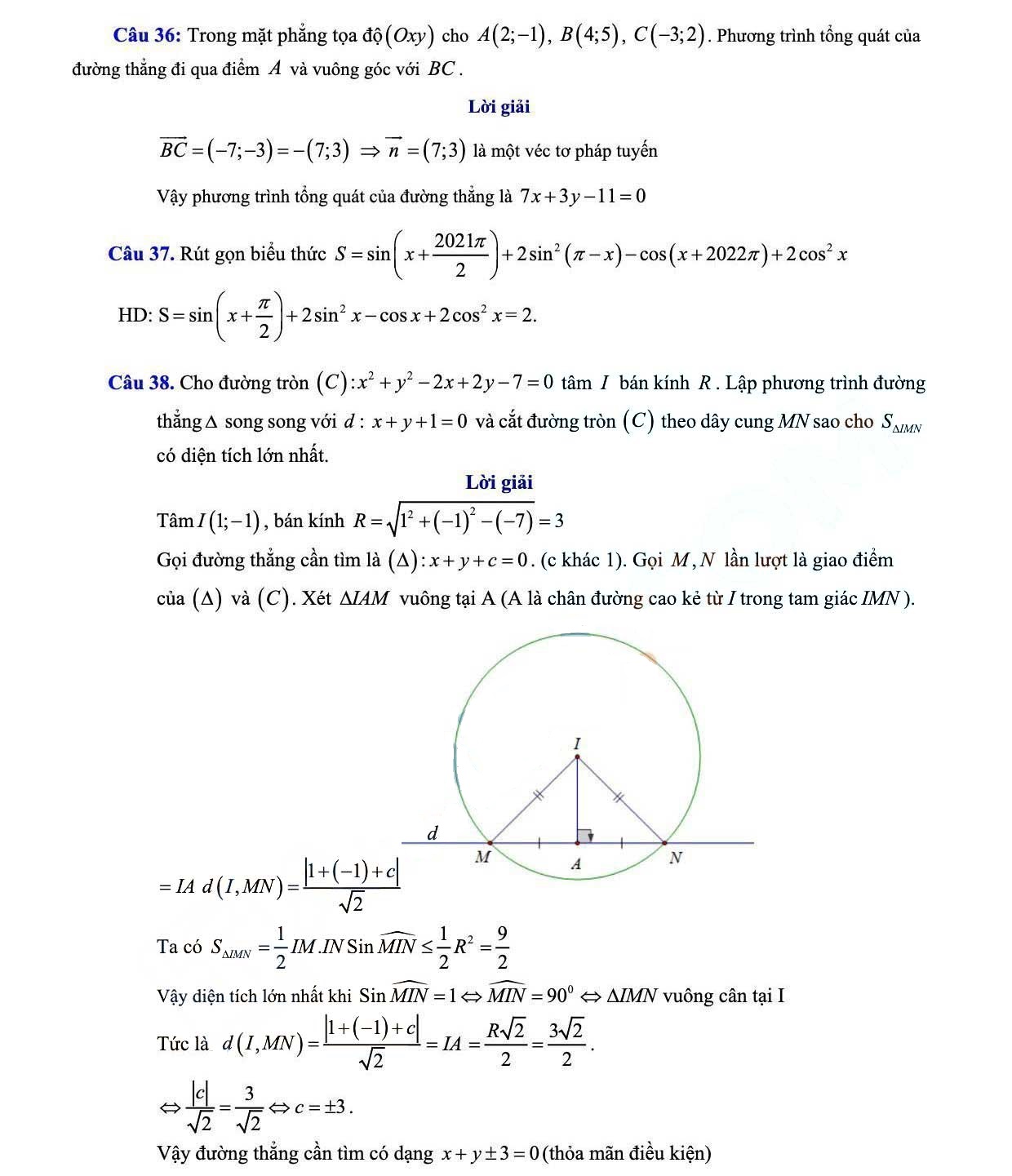
Chủ đề liên quan
