Thi THPTQG 2019: Đề thi và đáp án môn Toán mã đề 112
Cập nhật liên tục đề thi và đáp án môn Toán kì thi THPT quốc gia năm 2019. Dưới đây, KhoaHoc sẽ gửi đến quý phụ huynh và học sinh đề thi và đáp án môn Toán mã đề 112. Mời quý bạn đọc cùng tham khảo.
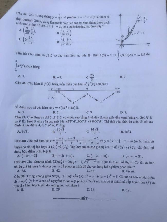
ĐỀ THI MÔN TOÁN MÃ ĐỀ 112





ĐÁP ÁN THAM KHẢO

Xem thêm bài viết khác
- Đáp án đề thi thử THPT quốc gia môn toán năm 2017 của Sở GD- ĐT tỉnh Bình Phước
- Đề thi thử THPT quốc gia môn toán năm 2017 của trường THPT chuyên- ĐH Vinh lần 3
- Đáp án Đề thi thử THPT quốc gia môn toán năm 2017 của Sở giáo dục và đào tạo Hồ Chí Minh- cụm chuyên môn VI
- Đề và đáp án môn Toán mã đề 113 thi THPT quốc gia năm 2017 đáp án của bộ GD-ĐT
- Đề và đáp án môn Toán mã đề 118 thi THPT quốc gia năm 2017 đáp án của bộ GD-ĐT
- Đáp án Đề thi thử THPT quốc gia môn toán năm 2017- Đề tham khảo số 5
- Đề và đáp án môn Toán mã đề 117 thi THPT quốc gia năm 2017 đáp án của bộ GD-ĐT
- Đáp án Đề thi thử THPT quốc gia môn toán năm 2017- Đề tham khảo số 3
- Thi THPTQG 2019: Đề thi và đáp án môn Toán mã đề 123
- Đáp án Đề thi thử THPT quốc gia môn toán năm 2017 của trường THPT chuyên Ngoại ngữ lần 1
- Thi THPTQG 2020: Đề thi và đáp án môn Toán mã đề 107
- Đề thi thử THPT quốc gia môn toán năm 2017 của trường THPT chuyên Thái Bình lần 4