Trắc nghiệm đại số và giải tích 11 bài Ôn tập chương 3
Bài có đáp án. Câu hỏi và bài tập trắc nghiệm đại số và giải tích 11 bài 1: Hàm số lượng giác (P1). Học sinh luyện tập bằng cách chọn đáp án của mình trong từng câu hỏi. Dưới cùng của bài trắc nghiệm, có phần xem kết quả để biết bài làm của mình. Kéo xuống dưới để bắt đầu.
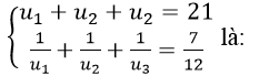
Câu 1: Cho dãy số
:

Khi đó số hạng thứ năm của dãy số là:
- A. 11
- B. 7
- C. 9
- D. 10
Câu 2: Cho dãy số
với mọi $n≥1$. Khi đó số hạng $u_{n+1}$ của dãy $(u_{n})$ là:
- A.

- B.

- C.

- D.

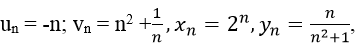
Câu 3: Trong các dãy số :
![]()
Có bao nhiêu dãy số bị chặn trên?
- A. 1
- B. 2
- C. 3
- D. 4
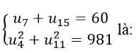
Câu 4: Gọi
và $(v_{n})$ là hai cấp số cộng có công sai lần lượt là $d_{1}$ và $d_{2}$. Tổng của n số hạng đầu của mỗi cấp số cộng theo thứ tự là:
và $T_{n}=v_{1}+v_{2}+...+v_{n}=4n+27$. Tỉ số $\frac{u_{11}}{v_{11}}$ là:
- A.

- B.

- C.

- D.

Câu 5: Cho tam giác ABC có các cạnh tương ứng
. Biết $\widehat{A} =90°$ và $a,\sqrt{\frac{2}{3}}b, c$ theo thứ tự lập thành một cấp số nhân. Tìm số đo góc $\widehat{B}$.
- A.

- B.

- C.

- D.

Câu 6: Tìm m để phương trình
có bốn nghiệm lập thành một cấp số cộng.
- A.

- B.

- C.

- D.

Câu 7: Tính tổng :

- A.

- B.

- C.

- D.

Câu 8: Giả sử các số
lập thành một cấp số cộng, còn các số $(y+1)^{2}, xy + 1 và (x-1)^{2}$ lập thành cấp số nhân. Hiệu của $x, y$ dương bằng?
- A.

- B.

- C.

- D.

Câu 9: Từ 0 giờ đến 12 giờ trưa, đồng hồ đánh bao nhiêu tiếng chuông nếu nó chỉ đánh chuông báo giờ và tiếng chuông bằng số giờ?
- A. 76
- B. 78
- C. 80
- D. 82
Câu 10: Giả sử
lập thành một cấp số nhân. Tính giá trị biểu thức $$(a-c)^{2}+(b-c)^{2}+(b-d)^{2}-(a-d)^{2}$$
- A. 3
- B. 2
- C. 1
- D. 0
Câu 11: Công bội nguyên dương của cấp số nhân
thoả mãn :

- A. 3
- B. 2
- C. 1
- D. 0
Câu 12: Tính tổng 8 số hạng đầu tiên của dãy số ![]()
- A. 19680
- B. 6560
- C. 9840
- D. 35360
Câu 13: Người ta thiết kế một cái tháp gồm 11 tầng. Diện tích bề mặt của mỗi tầng bằng nửa diện tích của bề mặt của tầng ngay bên dưới và diện tích của bề mặt tầng một bằng nửa diện tích của đế tháp. Biết diện tích bề mặt đế tháp lá
. Diện tích bề nặt của tầng trên cùng là:
- A.

- B.

- C.

- D.

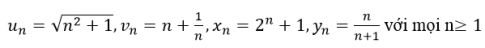
Câu 14: Cho các dãy số sau:
![]()
Khẳng định nào dưới đây là đúng?
- A. (1) dãy đơn điệu tăng; (2) là dãy đơn điệu giảm; (3) là dãy đơn điệu tăng;(4) là dãy đơn điệu tăng
- B. (1) dãy đơn điệu tăng; (2) là dãy đơn điệu giảm; (3) là dãy đơn điệu tăng;(4) là dãy không đơn điệu
- C. (1) dãy đơn điệu tăng; (2) là dãy đơn điệu tăng; (3) là dãy không đơn điệu ;(4) là dãy không đơn điệu
- D. Đáp án khác
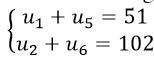
Câu 15: Công sai của cấp số cộng
thoả mãn:

- A. 3
- B. 2
- C. 1
- D. 0
Câu 16: Tìm tổng 5 số hạng đầu tiên của cấp số nhân, biết

- A. 36
- B. 90
- C. 27
- D. 93
Câu 17: Cho dãy số
:

Khi đó số hạng thứ 10 của dãy số là:
- A. 41
- B. 51
- C. 81
- D. 91
Câu 18: Giá tiền công khoan giếng ở cơ sở B được tính như sau: giá của mét khoan đầu tiên là 6000 đồng và kể từ mét khoan thứ hai, giá của mỗi mét sau tăng thêm 7% so với giá của mét khoan ngay trước đó. Vậy muốn khoan 20 mét thì tốn bao nhiêu tiền (tính bằng đồng)?
- A. 256789
- B. 325980
- C. 245973
- D. 121986
Câu 19: Tìm công sai dương của cấp số cộng ba số hạng, biết tổng của chúng bằng 9 và tổng bình phương bằng 125.
- A. 7
- B. 8
- C. 9
- D. 10
Câu 20: Cho các dãy số :
![]()
Trong các dãy số trên có bao nhiêu dãy bị chặn trên?
- A. 1
- B. 2
- C. 3
- D. 4
Câu 21: Một cấp số nhân dương có 4 số hạng, công bội q bằng
lần số hạng thứ nhất, tổng của hai số hạng đầu bằng 24. Tìm tích các số hạng cấp số nhân đó?
- A. 2
- B. 1
- C. 4096
- D. 262144
Câu 22: Cho dãy số
:

Khi đó số hạng thứ 5 của dãy số là:
- A. 11
- B. 7
- C. 9
- D. 10
Câu 23: Cho dãy số
với mọi $n≥1$. Khi đó số hạng $u_{n+1}$ của dãy là:
- A.

- B.

- C.

- D.

Câu 24: Cho bốn số nguyên biết rằng ba số hạng đầu lập thành mọt cấp số nhân, ba số hạng sau lập thành một cấp số cộng. Tổng của hai số hạng đầu và cuối bằng 14, còn tổng hai số ở giữa bằng 12. Tổng của bốn số nguyên đó là?
- A. 20
- B. 22
- C. 24
- D. 26
Câu 25: Một người gửi một triệu đồng với lãi suất 0,65%/tháng. Só tiền có được sau 2 năm (xấp xỉ) là:
- A. 1168236,3 đồng
- B. 1006542,5 đồng
- C. 1168256,3 đồng
- D. 1268236,3 đồng
=> Kiến thức Giải bài Ôn tập chương 3: Dãy số, cấp số cộng và cấp số nhân
Xem thêm bài viết khác
- Trắc nghiệm đại số và giải tích 11 chương 5:Đạo hàm (P3)
- Trắc nghiệm đại số và giải tích 11 bài 1: Giới hạn của dãy số (P2)
- Trắc nghiệm Hình học 11: bài 1: Đại cương về đường thẳng và mặt phẳng (P1)
- Trắc nghiệm đại số và giải tích 11 chương 2: Tổ hợp- xác xuất (P3)
- Trắc nghiệm Hình học 11 chương 3: Vecto trong không gian.Quan hệ vuông góc trong không gian (P3)
- Trắc nghiệm đại số và giải tích 11 Chương 1: Hàm số lượng giác và phương trình lượng giác (P1)
- Trắc nghiệm Hình học 11 Chương 1: Phép dời hình và phép đồng dạng trên mặt phẳng (P2)
- Trắc nghiệm đại số và giải tích 11 chương 3:Dãy số-Cấp số cộng và cấp số nhân (P3)
- Trắc nghiệm Hình học 11:Bài 5: Khoảng cách
- Trắc nghiệm Hình học 11 bài 3: Phép đối xứng trục (P2)
- Trắc nghiệm Hình học 11 chương 3: Vecto trong không gian.Quan hệ vuông góc trong không gian (P1)
- Trắc nghiệm Hình học 11 chương 2: Đường thẳng và mặt phẳng trong không gian, quan hệ song song (P1)