Đề thi thử THPT quốc gia môn toán năm 2017 của Sở GD và ĐT Đà Nẵng
Đây là đề thi thử THPT Quốc gia của Sở Giáo dục và đào tạo Đà Nẵng.
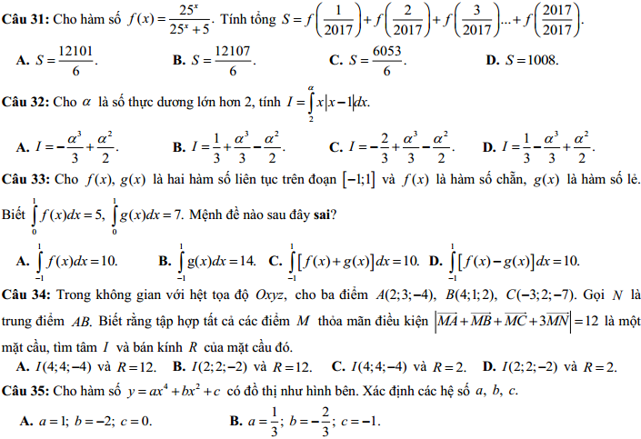
Câu 31: Cho hàm số
. Tính tổng $S=f(\frac{1}{2017}+f(\frac{2}{2017})+f(\frac{1}{2017})+...+f(\frac{2017}{2017})$.
A.
.
B.
.
C.
.
D.
.
Câu 34: Trong không gian hệ trục tọa độ Oxyz, cho ba điểm A(2,3,-4), B(4,1,2), C(-3,2,-7). Gọi N là trung điểm của AB. Biết rằng tập hợp tất cả các điểm M thỏa mãn điều kiện
là một mặt cầu. Tìm tâm I và bán kính R của mặt cầu đó.
A. I(4,4,-4) và R=12.
B. I(2,2,-2) và R=12.
C. I(4,4,-4) và R=2.
D. I(2,2,-2) và R=-2.
Câu 49: Cho khối hình lập phương ABCD.A'B'C'D'. Gọi M, N lần lượt là trung điểm của AB và AD, mặt phẳng (C'MN) chia khối lập phương thành 2 khối đa diện, đặt
là thể tích khối đa diện nhỏ và $V_{2}$ là thể tích khối đa diện lớn. Tính $\frac{V_{1}}{V_{2}}$.
A.
.
B.
.
C.
.
D.
.
Câu 50: Cho
là hai số phức thỏa mãn $|z_{1}|=|z_{2}|=1$ và $|z_{1}-z_{2}|=\sqrt{2}$. Tính $P=|\frac{1}{2}z_{1}+\frac{1}{2}z_{2}|.$
A.
.
B.
.
C.
.
D.
.










B. BÀI TẬP VÀ HƯỚNG DẪN GIẢI
Kiến thức thú vị
Xem thêm bài viết khác
- Đề và đáp án môn Toán mã đề 123 thi THPT quốc gia năm 2017 đáp án của bộ GD-ĐT
- Lời giải bài số 6, 18, 31, 48 Đề thi thử THPT quốc gia môn toán năm 2017 của trường THPT chuyên Quốc học Huế lần 2
- Đề thi khảo sát chất lượng môn toán năm 2017- Sở giáo dục đào tạo Thanh Hóa
- Đáp án đề thi thử THPT quốc gia môn toán năm 2017- đề tham khảo số 11
- Đề thi thử THPT quốc gia môn toán năm 2017- Đề tham khảo số 13
- Lời giải bài số 40, 41, 42, 46 Đề thi thử THPT quốc gia môn toán năm 2017 của trường THPT chuyên Quốc học Huế lần 3
- Lời giải bài số 23, 39, 43 Đề thi thử THPT Quốc gia môn Toán năm 2017 của Sở GD và ĐT Bắc Ninh
- Lời giải câu 27, 38, 49 đề thi thử THPT Quốc gia môn toán- Đề tham khảo số 2
- Thi THPTQG 2019: Đề thi và đáp án môn Toán mã đề 111
- Hướng dẫn giải câu 36- Đề thi thử THPT Quốc gia của Sở GD- ĐT Hồ Chí Minh cụm chuyên môn VI
- Đề và đáp án môn Toán mã đề 122 thi THPT quốc gia năm 2017 đáp án của bộ GD-ĐT
- Đề thi thử THPT quốc gia môn toán năm 2017- Đề tham khảo số 9