Đề và đáp án môn Toán mã đề 101 thi THPT quốc gia năm 2017 đáp án của bộ GD-ĐT
Dưới đây là đề và đáp án chính thức môn Toán, mã đề 101 thi THPT quốc gia năm 2017 do bộ giáo dục và đào tạo công bố. Các bạn thí sinh có mã đề như trên căn cứ vào đây để đánh giá điểm sơ bộ. Trên mạng có thể có nhiều đáp án, nhưng đây mới là đáp án chính thức. Đề và đáp án đều xem tốt trên điện thoại di động và các thiết bị khác. Mời các bạn cùng tham khảo
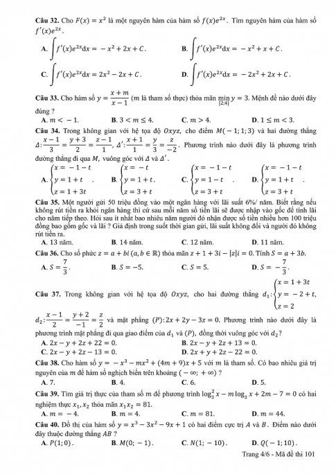
Đề và đáp án môn Toán mã đề 101 thi THPT quốc gia năm 2017 - đáp án chính thức của bộ






Đáp án đề mã đề 101
1.D | 11.B | 21.D | 31.C | 41.B |
2.B | 12.C | 22.C | 32.D | 42.D |
3.B | 13.A | 23.C | 33.C | 43.B |
4.C | 14.C | 24.B | 34.D | 44.B |
5.B | 15.D | 25.D | 35.C | 45.C |
6.D | 16.D | 26.D | 36.B | 46.C |
7.A | 17.C | 27.A | 37.C | 47.D |
8.C | 18.B | 28.D | 38.A | 48.D |
9.D | 19.C | 29.A | 39.B | 49.C |
10.B | 20.B | 30.B | 40.C | 50.D |
Như vậy, kì thi THPT Quốc gia năm 2017 đã khép lại. Chắc hẳn các bạn thí sinh đều đang trong tâm trạng hồi hộp chờ đợi kết quả và dõi theo các thông tin tuyển sinh của các trường Đại học, Cao đẳng trên cả nước. KhoaHoc sẽ nhanh chóng cập nhật tin tức đến các bạn. Chúc các bạn sẽ đạt kết quả thật tốt và bước vào ngôi trường Đại học mà mình mong muốn.
Xem thêm bài viết khác
- Thi THPTQG 2019: Đề thi và đáp án môn Toán mã đề 102
- Thi THPTQG 2020: Đề thi và đáp án môn Toán mã đề 123
- Lời giải bài số 1, 4, 41, 48 Đề thi thử THPT quốc gia môn toán năm 2017 của trường THPT chuyên- ĐH Vinh lần 3
- Đề và đáp án môn Toán mã đề 118 thi THPT quốc gia năm 2017 đáp án của bộ GD-ĐT
- Đề và đáp án môn Toán mã đề 102 thi THPT quốc gia năm 2017 đáp án của bộ GD-ĐT
- Đáp án Đề thi thử THPT quốc gia môn toán năm 2017 của trường THPT chuyên Quốc học Huế lần 2
- Lời giải bài số 39, 42, 48 Đề thi thử THPT quốc gia môn toán năm 2017- Đề tham khảo số 1
- Đề thi thử THPT quốc gia môn toán năm 2017 của Sở GD và ĐT Đà Nẵng
- Đề 10: Luyện thi THPTQG môn Toán năm 2018
- Đáp án Đề thi thử THPT quốc gia môn toán năm 2017 của trường THPT Hà Huy Tập lần 1
- Lời giải bài số 2, 3, 15, 19 Đề thi thử THPT quốc gia môn toán năm 2017 của trường THPT chuyên Thái Bình lần 4
- Đáp án Đề thi thử THPT quốc gia môn toán năm 2017 của Sở giáo dục và đào tạo Hồ Chí Minh- cụm chuyên môn VI