Đề thi thử THPT quốc gia môn toán năm 2017 của Sở giáo dục và đào tạo tỉnh Hưng Yên
Đây là đề thi của Sở Giáo dục và Đào tạo tỉnh Hưng Yên. Một đề khá hay, bám chắc kiến thức, phân loại rõ ràng.
Câu 7: Trong không gian với hệ trục tọa độ 0xyz, cho mặt phẳng (P):
và ba điểm $A(1,-2,0), B(1,0,-1), C(0,0,-2)$. Hỏi có tất cả bao nhiêu mặt cầu có tâm thuộc mặt phẳng (P) và tiếp xúc với ba đường thẳng AB, AC, BC?
A. 1 mặt cầu.
B. Vô số mặt cầu.
C. 4 mặt cầu.
D. 2 mặt cầu.
Câu 9: Cho hình phẳng (H) gồm nửa hình tròn đường kính AB và tam giác đều ABC như hình vẽ. Gọi
là đường thẳng qua C và song song với AB. Biết $AB=2 \sqrt{3} cm$. Tính thể tích khối tròn xoay tạo bởi hình (H) và trục
.

A.
.
B.
.
C.
.
D.
.
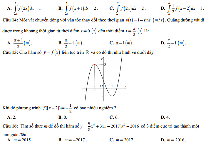
Câu 21: Cho hàm số
liên tục trên $\mathbb{R}$ và có đồ thị của hàm số $y=f'(x)$ như hình vẽ
Chọn khẳng định đúng
A.
.
B.
.
C.
.
D.
.













B. BÀI TẬP VÀ HƯỚNG DẪN GIẢI
Kiến thức thú vị
Xem thêm bài viết khác
- Đáp án đề thi minh họa THPT Quốc gia môn toán năm 2017 của Bộ lần 3
- Lời giải bài số 25, 31, 33 Đề thi thử THPT quốc gia môn toán năm 2017 của Sở GD- ĐT Hồ Chí Minh- cụm chuyên môn VI
- Đề thi thử THPT quốc gia môn toán năm 2017- Đề tham khảo số 13
- Lời giải bài số 1, 3, 7, 8 Đề thi thử THPT quốc gia môn toán năm 2017 của trường THPT chuyên Sư phạm lần 4
- Thi THPTQG 2019: Đề thi và đáp án môn Toán mã đề 113
- Lời giải bài số 1, 4, 41, 48 Đề thi thử THPT quốc gia môn toán năm 2017 của trường THPT chuyên- ĐH Vinh lần 3
- Thi THPTQG 2019: Đề thi và đáp án môn Toán mã đề 114
- Đề thi thử THPT quốc gia môn toán năm 2017 của GSTT
- Đề và đáp án môn Toán mã đề 103 thi THPT quốc gia năm 2017 đáp án của bộ GD-ĐT
- Lời giải bài số 1, 2, 3 Đề thi thử THPT quốc gia môn toán năm 2017 của trường THPT chuyên KHTN- Hà Nội lần 4
- Đề thi thử THPT quốc gia môn toán năm 2017- Đề tham khảo số 2
- Lời giải bài số 31, 37, 38, 45- đề thi minh họa THPT Quốc gia của Bộ lần 3