Trắc nghiệm vật lí 10 chương 3: Cân bằng và chuyển động của vật rắn (P2)
Bài có đáp án. Bộ bài tập trắc nghiệm vật lí 10 chương 3: Cân bằng và chuyển động của vật rắn (P2). Học sinh luyện tập bằng cách chọn đáp án của mình trong từng câu hỏi. Dưới cùng của bài trắc nghiệm, có phần xem kết quả để biết bài làm của mình. Kéo xuống dưới để bắt đầu.
Câu 1: Một vật chịu tác dụng của hai lực
và $\vec{F_{2}}$, lực
nằm ngang hướng sang phải có độ lớn 10 N. Để vật ở trạng thái cân bằng thì lực $\vec{F_{2}}$ có đặc điểm là
- A. cùng giá, cùng chiều, có độ lớn 10 N.
- B. nằm ngang, hướng sang trái, có độ lớn 10 N.
- C. nằm ngang, hướng sang phải, có độ lớn 10 N.
- D. cùng giá, hướng sang trái, độ lớn 10 N.
Câu 2: Một thanh dài L, trọng lượng P, được treo nằm ngang vào tường như hình vẽ. Một trọng vật P1 treo ở đầu thanh. Dây treo làm với tường một góc α. Lực căng của dây bằng.

- A. T=
P - B. T= P + P1
- C. T=
P + P1 - D. T=
(P+ 2P1)
Câu 3: Một cái xà nằm ngang chiều dài 10 m trọng lượng 200 N. Một đầu xà gắn vào tường, đầu kia được giữ bằng sợi dây làm với phương nằm ngang góc 60
. Lực căng của sợi dây là
- A. 200 N.
- B. 100 N.
- C. 116 N.
- D. 173 N.
Câu 4: Một thanh gỗ dài 1,5 m nặng 12 kg, một đầu được gắn vào trần nhà nhờ một bản lề, đầu còn lại được buộc vào một sợi dây và gắn vào trần nhà sao cho phương của sợi dây thẳng đứng và giữ cho tấm gỗ nằm nghiêng hợp với trần nhà nằm ngang một góc 30°. Biết trọng tâm của thanh gổ cách đầu gắn bản lề 50 cm. Tính lực căng của sợi dây. Lấy g = 10 m/s
.

- A. 120 N
- B. 80 N
- C. 40 N
- D. 20 N
Câu 5: Một khối trụ có thể lăn trên mặt bàn nằm ngang với trọng tâm của nó nằm dưới tâm hình học. Cân bằng của khối trụ là
- A. cân bằng không bền.
- B. cân bằng bền.
- C. cân bằng phiếm định.
- D. không thể cân bằng.
Câu 6: Một vật rắn phẳng mỏng dạng một tam giác đều ABC, canh a = 20 cm. Người ta tác dụng một ngẫu lực nằm trong mặt phẳng của tam giác. Các lực này có độ lớn 8 N và đặt vào hai đỉnh A và C và song song với BC. Momen của ngẫu lực có giá trị là
- A. 13,8 N.m.
- B. 1,38 N.m.
- C. 1,38.10
N.m. - D. 1,38.10
N.m.
Câu 7: Một thanh gỗ dài 1,8 m nặng 30 kg, một đầu được gắn vào trần nhà nhờ một bản lề, đầu còn lại được buộc vào một sợi dây và gắn vào trần nhà sao cho phương của sợi dây thẳng đứng và giữ cho tấm gỗ nằm nghiêng hợp với trần nhà nằm ngang một góc 45°. Biết trọng tâm của thanh gỗ cách đầu gắn sợi dây 60 cm. Tính lực căng của sợi dây . Lấy g = 10 m/2
.
- A. 300 N
- B. 200 N
- C. 240 N
- D. 100 N
Câu 8: Tìm phát biểu sai về trọng tâm của một vật rắn.
- A. Luôn nằm trên phương của dây treo khi vật được treo bằng một sợi dây.
- B. Là điểm đặt của trọng lực tác dụng lên vật.
- C. Không dịch chuyển so với vật.
- D. Luôn nằm trên vật.
Câu 9: Một thanh AB được tạo thành từ hai thanh, thanh sắt AC và thanh nhôm CB có chiều dài bằng nhau và hàn chặt tại C. Gọi G1 và G2 lần lượt là vị trí trọng tâm của AC và CB. Vị trí trọng tâm của thanh AB nằm ở vị trí:
- A. trong đoạn G1C.
- B. trong đoạn CG2.
- C. ngay tại điểm C.
- D. trong đoạn AG1.
Câu 10: Một vật không có trục quay cố định, khi chịu tác dụng của một ngẫu lực thì vật sẽ
- A. chuyển động tịnh tiến.
- B. chuyển động quay.
- C. vừa quay, vừa tịnh tiến.
- D. nằm cân bằng.
Câu 11: Một thanh chắn đường AB dài 9 m, nặng 30 kg, trọng tâm G cách đầu B một khoảng BG = 6 m. Trục quay O cách đầu A một khoảng AO = 2 m, đầu A được treo một vật nặng. Người ta phải tác dụng vào đầu B một lực F = 100 N để giử cho thanh cân bằng ở vị trí nằm ngang. Tính khối lượng của vật nặng mà người ta đã treo vào đầu A. Lấy g = 10 m/s
.
- A. 30 kg .
- B. 40 kg.
- C. 50 kg.
- D. 60 kg.
Câu 12: Thanh OA có khối lượng không đáng kể, có chiều dài 20cm, quay dễ dàng quanh trục nằm ngang O. Một lò xo gắn vào điểm giữa C. Người ta tác dụng vào đầu A của thanh một lực F = 20N hướng thẳng đứng xuống dưới. Khi thanh ở trạng thái cân bằng, lò xo có hướng vuông góc với OA, và OA làm với đường nằm ngang một góc α = 30°. Tính độ cứng k của lò xo, biết lò xo ngắn đi 8cm so với lúc không bị nén.
- A. 433 N/m
- B. 526 N/m
- C. 348 N/m
- D. 276 N/m
Câu 13: Một thanh nhẹ gắn vào sàn tại B. Tác dụng lên đầu A lực kéo F = 100N theo phương ngang. Thanh được giữ cân bằng nhờ dây AC. Biết α = 30°. Tính lực căng dây AC?
- A. 250 N
- B. 100 N
- C. 200 N
- D. 150 N
Câu 14: Một thanh đồng chất dài L, trọng lượng P được treo năm ngang bằng hai dây. Dây thứ nhất buộc vào đầu bên trái của thanh, dây thứ hai buộc vào điểm cách đầu bên phải L/4. Lực căng của dây thứ hai bằng bao nhiêu ?
- A. 2P/3.
- B. P/3.
- C. P/4.
- D. P/2.
Câu 15: Hai người khiêng một vật nặng 1200N bằng một đòn tre dài 1m, một người đặt điểm treo của vật cách vai mình 40cm. Bỏ qua trọng lượng của đòn tre. Mỗi người phải chịu một lực bao nhiêu?
- A. 480 N, 720 N.
- B. 450 N, 630 N
- C. 385 N, 720 N
- D. 545 N, 825 N
Câu 16: Một vật rắn có khối lượng m= 10 kg được kéo trượt tịnh tiến trên mặt sàn nằm ngang bởi lực
có độ lớn 20 N hợp với phương nằm ngang một góc α = 30$^{o}$. Cho biết hệ số ma sát trượt giữa vật và sàn nhà là μ = 0,1 (lấy g = 10 m/s$^{2}$). Quãng đường vật rắn đi được 4 s là
- A. 6,21 m.
- B. 6,42 m.
- C. 6,66 m.
- D. 6,72 m.
Câu 17: Một thanh AB dài 1 m khối lượng 5 kg được đặt nằm ngang lên hai giá đỡ tại A và B. Người ta móc vào điểm C của thanh (AC = 60 cm) một trọng vật có khối lượng 10 kg. Lấy g = 10 m/s
, lực nén lên hai giá đỡ là
- A. F1 = 40 N, F2 = 60 N
- B. F1 = 65 N, F2 = 85 N
- C. F1 = 60 N, F2 = 80 N
- D. F1 = 85 N, F2 = 65 N
Câu 18: Người ta khoét một lỗ tròn bán kính R/2 trong một đĩa tròn đồng chất bán kính R. Trọng tâm của phần còn lại cách tâm đĩa tròn lớn bao nhiêu ?
- A. R/2
- B. R/4
- C. R/3
- D. R/6
Câu 19: Nhận xét nào dưới đây về hợp lực của hai lực song song và cùng chiều là không đúng?
- A. Độ lớn của hợp lực bằng tổng giá trị tuyệt đối độ lớn của hai lực thành phần.
- B. Hợp lực hướng cùng chiều với chiều của hai lực thành phần.
- C. Hợp lực có giá nằm trong khoảng cách giữa hai giá của hai lực thành phần và chia thành những đoạn tỉ lệ thuận với hai lực ấy.
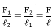
- D. Nếu ℓ là khoảng cách giữa hai giá của hai lực thành phần là ℓ1, ℓ2 là những đoạn chia trong (ℓ = ℓ1 + ℓ2) thì giữa các lực thành phần F1, F2 và F có hệ thức:

Câu 20: Cắp “lực và phản lực” trong định luật III Niu-tơn
- A. tác dụng vào cùng một vật và có độ lớn bằng nhau.
- B. tác dụng vào hai vật khác nhau và có độ lớn bằng nhau.
- C. tác dụng vào hai vật khác nhau và có độ lớn khác nhau.
- D. tác dụng vào cùng một vật và có độ lớn khác nhau.
Xem thêm bài viết khác
- Trắc nghiệm vật lý 10 bài 30: Quá trình đẳng tích. Định luật Sác-lơ
- Trắc nghiệm Vật lí 10 học kì I (P2)
- Trắc nghiệm vật lí 10 chương 3: Cân bằng và chuyển động của vật rắn (P3)
- Trắc nghiệm vật lý 10 bài 14: Lực hướng tâm
- Trắc nghiệm vật lý 10 bài 17: Cân bằng của một vật chịu tác dụng của hai lực và của ba lực không song song
- Trắc nghiệm vật lí 10 chương 2: Động lực học chất điểm (P2)
- Trắc nghiệm vật lý 10 bài 22: Ngẫu lực
- Trắc nghiệm Vật lí 10 học kì I (P3)
- Trắc nghiệm vật lý 10 bài 3: Chuyển động thẳng biến đổi đều
- Trắc nghiệm vật lý 10 bài 6: Tính tương đối của chuyển động - công thức cộng vận tốc
- Trắc nghiệm vật lí 10 chương 3: Cân bằng và chuyển động của vật rắn (P2)
- Trắc nghiệm vật lí 10 chương 3: Cân bằng và chuyển động của vật rắn (P4)
