Giải câu 9 bài 19: Luyện tập Phản ứng oxi hóa khử
Câu 9. (Trang 90 SGK)
Cân bằng các phương trình phản ứng oxi hoá - khử sau đây bằng phương pháp thăng bằng electron và cho biết chất khử, chất oxi hoá ở mỗi phản ứng :
a) Al + Fe3O4 ⟶(to) Al2O3 + Fe
b) FeSO4 + KМNО4 + H2SO4 ⟶ Fe2(SO4)3 + MnSO4 + K2SO4 + H2O
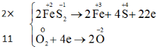
c) FeS2 + O2 ⟶(to) Fe2O3 + SO2
d) KClO3 ⟶(to) KCl + O2
e) Cl2+ KOH →(to) KCl + KClO3 + H2O.
Bài làm:
a) ![]()

=>Chất khử là Al và chất oxi hóa là Fe3O4.
b) ![]()

=> Chất khử là FeSO4 và chất oxi hóa là KMnO4
c) ![]()

=>Chất khử là FeS2 và chất oxi hóa là O2
d) ![]()

=>Cl2 vừa là chất khử vừa là chất oxi hóa.
Xem thêm bài viết khác
- Giải câu 9 bài 32: Hidrosunfua – Lưu huỳnh đioxit – Lưu huỳnh trioxit
- Giải câu 4 bài 32: Hidrosunfua – Lưu huỳnh đioxit – Lưu huỳnh trioxit
- Giải thí nghiệm 3 bài 28: Bài thực hành số 3: Tính chất hóa học của brom và iot
- Giải bài 24 hóa học 10: Sơ lược về hợp chất có oxi của clo
- Giải câu 7 bài 9: Sự biến đổi tuần hoàn tính chất của các nguyên tố hóa học. Định luật tuần hoàn
- Giải câu 10 bài 32: Hidrosunfua – Lưu huỳnh đioxit – Lưu huỳnh trioxit
- Giải bài 8 hóa học 10: Sự biến đổi tuần hoàn cấu hình electron nguyên tử của các nguyên tố hóa học
- Giải thí nghiệm 2 bài 27: Bài thực hành số 2: Tính chất hóa học của khí clo và hợp chất của clo
- Giải câu 7 bài 7: Bảng tuần hoàn các nguyên tố hóa học
- Giải câu 3 bài 29: Oxi Ozon
- Giải câu 6 bài 11: Luyện tập Bảng tuần hoàn, sự biến đổi tuần hoàn cấu hình electron nguyên tử và tính chất của các nguyên tố hóa học
- Giải câu 2 bài 32: Hidrosunfua – Lưu huỳnh đioxit – Lưu huỳnh trioxit