Trắc nghiệm sinh học 12 chương 3: Hệ sinh thái, sinh quyển và bảo vệ môi trường (P2)
Bài có đáp án. Bộ bài tập trắc nghiệm sinh học 12 chương 3: Hệ sinh thái, sinh quyển và bảo vệ môi trường (P2). Học sinh luyện tập bằng cách chọn đáp án của mình trong từng câu hỏi. Dưới cùng của bài trắc nghiệm, có phần xem kết quả để biết bài làm của mình. Kéo xuống dưới để bắt đầu.
Câu 1: Hệ sinh thái tự nhiên khác hệ sinh thái nhân tạo ở
- A. thành phần cấu trúc, chu trình dinh dưỡng, chuyển hóa năng lượng
- B. thành phần cấu trúc, chu trình dinh dưỡng
- C. chu trình dinh dưỡng , chuyển hóa năng lượng
- D. thành phần cấu trúc, chuyển hóa năng lượng
Câu 2: Các hệ sinh thái trên cạn nào có tính đa dạng sinh học cao nhất?
- A. các hệ sinh thái thảo nguyên
- B. các hệ sinh thái nông nghiệp vùng đồng bằng
- C. các hệ sinh thái hoang mạc
- D. các hệ sinh thái rừng (rừng mưa nhiệt đới, rừng lá rộng rụng lá theo mùa vùng ôn đới, rừng lá kim)
Câu 3: Tại sao hệ sinh thái là một hệ thống sinh học hoàn chỉnh và tương đối ổn định?
- A. Vì các sinh vật trong quần xã luôn cạnh tranh với nhau, đồng thời tác động với các thành phần vô sinh của sinh cảnh
- B. Vì các sinh vật trong quần xã luôn tác động lẫn nhau
- C. Vì các sinh vật trong quần xã luôn tác động với các thành phần vô sinh của sinh cảnh
- D. Vì các sinh vật trong quần xã luôn tác động lẫn nhau, đồng thời tác động lên các thành phần vô sinh của sinh cảnh
Câu 4: Phát biểu sau đây là không đúng đối với một hệ sinh thái?
- A. Trong hệ sinh thái, sự thất thoát năng lượng qua mỗi bậc dinh dưỡng là rất lớn.
- B. Trong hệ sinh thái, sự biến đổi năng lượng có tính tuần hoàn.
- C. Trong hệ sinh thái, càng lên bậc dinh dưỡng cao năng lượng càng giảm dần.
- D. Trong hệ sinh thái, sự biến đổi vật chất diễn ra theo chu trình.
Câu 5: Sinh vật nào dưới đây được gọi là sinh vật sản xuất?
- A. Con chuột
- B. Vi khuẩn
- C. Trùng giày
- D. Cây lúa
Câu 6: Trong hệ sinh thái, nếu sinh khối của thực vật ở các chuỗi là bằng nhau thì trong số các chuỗi thức ăn sau, chuỗi thức ăn cung cấp năng lượng cao nhất cho con người là:
- A. thực vật → thỏ → người
- B. thực vật →người
- C. thực vật → động vật phù du → cá → người
- D. thực vật → cá → vịt → người
Câu 7: Sản lượng sinh vật sơ cấp do nhóm sinh vật nào tạo ra?
- A. sinh vật dị dưỡng
- B. sinh vật tiêu thụ bậc 2
- C. sinh vật phân giải
- D. sinh vật sản xuất
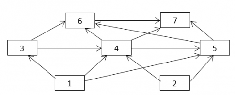
Câu 8: Trong lưới thức ăn được mô tả ở hình bên, khi bậc dinh dưỡng đầu tiên bị nhiễm kim loại nặng thì sinh vật nào sẽ tích tụ hàm lượng kim loại nặng lớn nhất?

- A. Sinh vật số 1
- B. Sinh vật số 4
- C. Sinh vật số 6
- D. Sinh vật số 7
Câu 9: Trong giờ thực hành, một bạn học sinh đã mô tả ngắn gọn quan hệ sinh thái giữa các loài trong một vườn xoài như sau: Cây xoài là thức ăn của sâu đục thân, sâu hại quả, chim ăn quả, côn trùng cánh cứng ăn vỏ cây và loài động vật ăn rễ cây. Chim ăn sâu côn trùng cánh cứng, sâu đục thân và sâu hại quả. Chim sâu và chim ăn hạt đều là thức ăn của chim ăn thịt cỡ lớn. Động vật ăn rễ cây là thức ăn của rắn, thú ăn thịt và chim ăn thịt cỡ lớn. Từ các mô tả này, có bao nhiêu phát biểu sau đây đúng?
I. Chuỗi thức ăn dài nhất trong lưới thức ăn này có tối đa 4 mắt xích.
II. Nếu số lượng động vật ăn rễ cây bị giảm mạnh thì sự cạnh tranh giữa chim ăn thịt cỡ lớn và rắn gay gắt hơn so với sự cạnh tranh giữa rắn và thú ăn thịt.
III. Chim ăn thịt cỡ lớn có thể là động vật tiêu thụ bậc 2, cũng có thể là động vật ăn thịt bậc 3.
IV. Các loài sâu đục thân, sâu hại quả, động vật ăn rễ cây và côn trùng cánh cứng có ổ sinh thái trùng nhau hoàn toàn.
- A. 2.
- B. 1.
- C. 3.
- D. 4.
Câu 10: Sử dụng các số liệu và các phân tích về số lượng, sinh khối và năng lượng tiêu thụ của một chuỗi thức ăn điển hình của một quần xã sinh vật có thể xây dựng được tháp sinh thái. Điều khẳng định nào dưới đây về tháp sinh thái là chính xác?
- A. Tháp số lượng luôn có dạng chuẩn, đáy rộng và đỉnh nhỏ.
- B. Từ tháp số lượng có thể tính toán được hiệu suất sinh thái của mỗi bậc dinh dưỡng.
- C. Trong tháp năng lượng, các loài ở trên luôn cung cấp đầy đủ năng lượng cho các loài ở dưới.
- D.Tháp sinh thái xây dựng đối với quần xã sinh vật nổi trong nước, sinh khối của vi khuẩn, tảo thấp, sinh khối vật tiêu thụ cao, tháp sinh khối bị biến dạng.
Câu 11: Trong chu trình sinh địa hóa, nhóm sinh vật nào trong các nhóm sinh vật sau đây có khả năng biến đổi nito ở dạng
thành nito ở dạng $N_{2}$?
- A. động vật nguyên sinh
- B. vi khuẩn cố định nito trong đất
- C. thực vật tự dưỡng
- D. vi khuẩn phản nitrat hóa
Câu 12: Khi nói về chu trình sinh địa hóa của cacbon, phát biểu nào sau đây đúng?
- A. Sự vân chuyển cacbon qua mỗi bậc dinh dưỡng không phụ thuộc vào hiệu suất sinh thái của bậc dinh dưỡng đó
- B. Cacbon đi vào chu trình chủ yếu dưới dạng cacbon monoxit (CO)
- C. Một phần nhỏ cacbon tách ra từ chu trình dinh dưỡng để đi bào các lớp trầm tích
- D. Toàn bộ lượng cacbon sau khi đi qua chu trình dinh dưỡng được trở lại môi trường không khí
Câu 13: Giả sử năng lượng đồng hóa của các sinh vật dị dưỡng trong 1 chuỗi thức ăn như sau:
Sinh vật tiêu thụ bậc 1: 1 500 000 kcal; Sinh vật tiêu thụ bậc 2: 180 000 kcal;
Sinh vật tiêu thụ bậc 3: 18 000 kcal; Sinh vật tiêu thụ bậc 4: 1 620 kcal
Hiệu suất sinh thái giữa bậc dinh dưỡng cấp 3 với bậc dinh dưỡng cấp 2 và giữa dinh dưỡng cấp 4 với bậc dinh dưỡng cấp 3 trong chuỗi thức ăn trên lần lượt là
- A. 10% và 9%
- B. 12% và 10%
- C. 9% và 10%
- D. 10% và 12%
Câu 14: Sản lượng sinh vật thứ cấp lớn nhất mà con người có thể nhận được nằm ở bậc dinh dưỡng nào?
- A. Vật dữ đầu bảng.
- B. Những động vật gần với vật dữ đầu bảng.
- C. Những động vật nằm ở bậc dinh dưỡng trung bình trong chuỗi thức ăn.
- D. Những động vật ở những bậc dinh dưỡng gần với nguồn thức ăn sơ cấp.
Câu 15: Người ta tăng năng suất mà không gây ô nhiễm môi trường bằng cách tăng lượng chất chu chuyển trong nội bộ hệ sinh thái. Các phương pháp để tăng lượng chất chu chuyển:
(1) Tăng cường sử dụng lại các rác thải hữu cơ.
(2) Tăng cường sử dụng đạm sinh học.
(3) Tăng cường sử dụng phân bón hóa học.
(4) Làm giảm sự mất chất dinh dưỡng khỏi hệ sinh thái.
Phương án đúng là:
- A. (1), (2) và (3)
- B. (1), (2) và (4)
- C. (2), (3) và (4)
- D. (1), (3) và (4)
Câu 16: Những hoạt động nào sau đây của con người là giải pháp nâng cao hiệu quả sử dụng hệ sinh thái?
I. Bón phân, tưới nước, diệt cỏ dại đối với các hệ sinh thái nông nghiệp.
II. Khai thác triệt để các nguồn tài nguyên không tái sinh.
III. Loại bỏ các loài tảo độc, cá dữ trong các hệ sinh thái ao hồ nuôi tôm, cá.
IV. Xây dựng các hệ sinh thái nhân tạo một cách hợp lí.
Có bao nhiêu giải pháp đúng?
- A. 4.
- B. 2.
- C. 3.
- D. 5.
Câu 17: Giải pháp khắc phục và làm tăng cường chất lượng cuộc sống của con người trong xã hội một cách bền vững và lâu dài:
(1) Điều chỉnh sự gia tăng dân số phù hợp với điều kiện tự nhiên.
(2) Khai thác triệt để các nguồn tài nguyên phục vụ con người
(3) Tái chế, xử lý rác thải và tăng cường sử dụng năng lượng sạch.
(4) Bảo vệ tài nguyên tái sinh và sử dụng hợp lý tài nguyên không tái sinh.
Số lượng các giải pháp đúng:
- A. 1
- B. 2
- C. 3
- D. 4
Câu 18: Trong tiến hóa, CLTN được xem là nhân tố tiến hóa cơ bản nhất vì
- A. tăng cường sự phân hóa kiểu gen trong quần thể gốc
- B. diễn ra với nhiều hình thức khác nhau
- C. đảm bảo sự sống sót của những cá thể thích nghi nhất
- D. nó định hướng quá trình tích lũy biến dị, quy định nhịp độ biến đổi kiểu gen của quần thể
Câu 19: Trật tự nào sau đây của chuỗi thức ăn không đúng?
- A. Cây xanh → chuột → mèo → diều hâu
- B. Cây xanh → chuột → cú → diều hâu
- C. Cây xanh → chuột → rắn → diều hâu
- D. Cây xanh → rắn → chim → diều hâu
Câu 20: Khi số lượng cá thể của quần thể chạm tới sức chứa của môi trường điều gì sẽ xảy ra ?
- A. Mật độ của quần thể tăng theo cấp số
- B. Mật độ của quần thể giảm theo cấp số
- C. Tốc độ tăng trưởng của quần thể sẽ tăng
- D. Tốc độ tăng trưởng của quần thể sẽ giảm
Câu 21: Các tài nguyên nào sau đây được xếp vào dạng tài nguyên năng lượng vĩnh cửu?
(1) Không khí sạch.
(2) Năng lượng mặt trời.
(3) Đất.
(4) Nước sạch.
(5) Đa dạng sinh học.
(6) Năng lượng gió.
(7) Năng lượng thủy triều.
(8) Năng lượng sóng.
- A. (1), (2), (4) và (7).
- B. (3), (5), (6) và (8).
- C. (2), (6), (7) và (8).
- D. (1), (2), (5) và (7).
Câu 22: Hai quần thể A và B khác loài sống trong cùng khu vực và có các nhu cầu sống giống nhau. Có bao nhiêu phát biểu sau đây đúng về sự cạnh tranh giữa các loài?
I. Nếu hai quần thể A và B cùng bậc phân loại, thì loài nào có tiềm năng sinh học cao hơn loài đó sẽ chiến thắng, tăng số lượng cá thể; loài kia giảm dần số lượng, có thể bị diệt vong.
II. Nếu hai quần thể A và B khác nhau về bậc phân loại, thì loài nào có bậc tiến hóa cao hơn sẽ là loài chiến thắng, tăng số lượng cá thể.
III. Hai quần thể vẫn có thể tồn tại song song nếu chúng có khả năng phân li ổ sinh thái về thức ăn, cách khai khác thức ăn, nơi ở...
IV. Cạnh tranh giữa các loài trong quần xã là một động lực quan trong của quá trình tiến hóa.
- A. 3
- B. 1
- C. 4
- D. 2
Câu 23: Ở một vùng biển, năng lượng bức xạ chiếu xuồng mặt nước đạt 3.106
/ ngày. Tảo X chỉ đồng hóa được 3% tổng năng lượng đó. Giáp xác trong hồ khai thác dược 40% năng lượng tích lũy trong tảo X còn cá ăn giáp xác khai thác được 0.15% năng lựợng của giáp xác. Hiệu suất sử dụng năng lượng của bậc dinh dưỡng cuối cùng so với tổng năng lượng ban đầu là:
- A. 0.0018%
- B. 0,008%
- C. 0,08%.
- D. 0.00018%.
Xem thêm bài viết khác
- Trắc nghiệm sinh học 12 chương 4: Ứng dụng di truyền học (P1)
- Trắc nghiệm sinh học 12 bài 40: Quần xã sinh vật và một số đặc trưng cơ bản của quần xã (P1)
- Trắc nghiệm sinh học 12 chương 2: Sự phát sinh và phát triển sự sống trên trái đất (P1)
- Trắc nghiệm sinh học 12 bài 42: Hệ sinh thái
- Trắc nghiệm sinh học 12 chương 2: Quần xã sinh vật
- Trắc nghiệm sinh học 12 chương 4: Ứng dụng di truyền học (P2)
- Trắc nghiệm sinh học 12 bài 22: Bảo vệ vốn gen của loài người và một số vấn đề xã hội của di truyền học
- Trắc nghiệm sinh học 12 bài 26: Học thuyết tiến hóa tổng hợp hiện đại
- Trắc nghiệm sinh học 12 bài 20: Tạo giống nhờ công nghệ gen (P1)
- Trắc nghiệm sinh học 12 chương 3: Hệ sinh thái, sinh quyển và bảo vệ môi trường (P2)
- Trắc nghiệm sinh học 12 bài 6: Đột biến số lượng nhiễm sắc thể (P1)
- Trắc nghiệm sinh học 12 bài 2: Phiên mã và dịch mã