Bộ đề Toán lớp 4 kì 2 năm 2021-2022 Đề thi cuối học kì 2 lớp 4
Nhằm giúp các em học sinh lớp 4 ôn tập lại kiến thức môn Toán, tích lũy thêm cho bản thân mình những kinh nghiệm giải đề hay, đồng thời biết cách phân bổ thời gian làm bài sao cho hợp lý để đạt được điểm số cao cho kì thi học kì 2 lớp 4 sắp tới. Khoahoc đã sưu tầm và xin giới thiệu tới các em: Bộ đề Toán lớp 4 kì 2 năm 2021-2022. Mời các em tải và tham khảo đề thi dưới đây
- 210 câu trắc nghiệm Toán lớp 4
- Bộ đề thi học kì 2 lớp 4 năm 2021 – 2022 theo Thông tư 22
- Bộ đề Toán lớp 4 kì 2
- Tả con chó lớp 4
Bộ đề Toán lớp 4 kì 2 năm 2022
Đề thi học kì 2 môn Toán lớp 4 năm 2021 - 2022 (Đề số 1)
Phần I. Trắc nghiệm (3 điểm)
Câu 1: Trung bình cộng của các số: 150 ; 151 và 152 là :
A. 150
B. 152
C. 151
D. 453
Câu 2: Trong các số 36; 150; 180; 250. Số chia hết cho cả 2; 3; 5 và 9 là:
A. 36
B.180
C. 150
D. 250
Câu 3: Biểu thức 
Có kết quả là:


Câu 4: Tìm x: x + 295 = 45 × 11
A. x = 200
B. x= 495
C. x= 790
D. x = 350
Câu 5: Hai lớp 4A và 4B thu gom được tất cả 250 ki-lô-gam giấy vụn. Lớp 4A thu gom được nhiều hơn lớp 4B là 20 ki-lô-gam giấy vụn. Hỏi lớp 4A thu gom được nhiêu ki-lô-gam giấy vụn?
A. 125kg
B.135kg
C. 230kg
D. 270kg
Câu 6: Một hình bình hành có chiều cao 2dm và độ dài đáy 10cm. Diện tích hình bình hành đó là:
A. 20cm2
B. 200cm2
C. 20dm2
D. 24 dm2
Phần II. Tự luận (7 điểm)
Câu 1 (3 điểm):Tính


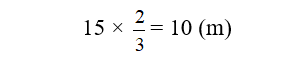
Câu 2 (3 điểm): Một mảnh vườn hình chữ nhật có chiều dài 15m, chiều rộng bằng 2/3 chiều dài. Trung bình cứ 1 m2 vườn đó người ta thu được 10 ki - lô - gam cà chua. Hỏi trên cả mảnh vườn đó người ta thu được bao nhiêu ki - lô - gam cà chua?
Câu 3 (1 điểm): Tính bằng cách thuận tiện nhất:
(36 + 54) × 7 + 7 × 9 + 7
Đáp án đề thi Toán lớp 4 học kỳ 2 năm 2021 - 2022 (Đề số 1)
Phần I. Trắc nghiệm (3 điểm)
Mỗi câu đúng được 0,5 điểm:
| Câu 1 | Câu 2 | Câu 3 | Câu 4 | Câu 5 | Câu 6 |
|---|---|---|---|---|---|
| C | B | D | A | B | B |
Phần II. Tự luận (7 điểm)
Câu 1 (3 điểm) :


Câu 2 (3 điểm):
Chiều rộng mảnh vườn hình chữ nhật là:

Diện tích mảnh vườn hình chữ nhật là:
15 × 10 = 150 (m2)
Số ki- lô-gam cà chua thu hoạch được trên thửa ruộng đó là:
10 × 150 = 1500 (kg)
Đáp số: 1500 kg cà chua
Câu 3 (1 điểm) :
(36 + 54) × 7 + 7 × 9 + 7
= 90 × 7 + 7 × 9 + 7
= (90 + 9 + 1 ) × 7
= 100 × 7
= 700
Đề thi Toán lớp 4 cuối học kì 2 năm 2021 - 2022 (Đề số 2)
Phần I. Trắc nghiệm (3 điểm)
Câu 1: Số lớn nhất trong các số: 856 564; 856 654; 856 465; 856 546 là:
A. 856 564
B. 856 654
C. 856 465
D. 856 546
Câu 2: Chọn câu trả lời đúng.


Câu 3: Trung bình cộng của hai số là 100. Biết số bé bằng 4/5 số lớn. Tìm số bé.
A. 50
B. 40
C. 20
D. 30
Câu 4: Nối số đo ở cột A với số đo ở cột B sao cho phù hợp:
| A | B |
|---|---|
| 1. 12m² 30cm² 2. 12m² 3dm² | a. 120300cm² b. 120030cm² |
Câu 5: Một hình bình hành có diện tích là 100 cm2, chiều cao 20 cm. Tính độ dài đáy của hình bình hành đó là:
A. 5cm
B. 10cm
C. 20 cm
D. 15 cm
Câu 6: Cho các phân số 
Phân số lớn nhất là


Phần II. Tự luận (7 điểm)
Câu 1 (3 điểm):Tính


Câu 2 (3 điểm): Một thửa ruộng hình chữ nhật có nửa chu vi là 75 m. Chiều rộng bằng chiều dài.
a, Tính diện tích thửa ruộng đó.
b, Trung bình cứ 10 m2 vườn đó người ta thu được 5 ki - lô - gam khoai. Hỏi trên thửa ruộng đó người ta thu hoạch được bao nhiêu yến khoai?
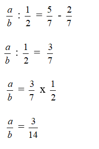
Câu 3 (1 điểm): Tìm a/b, biết:

Đáp án đề Toán lớp 4 kì 2 năm 2021 - 2022 (Đề số 2)
Phần I. Trắc nghiệm (3 điểm)
Mỗi câu đúng được 0,5 điểm:
| Câu 1 | Câu 2 | Câu 3 | Câu 4 | Câu 5 | Câu 6 |
|---|---|---|---|---|---|
| D | B | D | 1-b,2-a | A | D |
Phần II. Tự luận (7 điểm)
Câu 1 (3 điểm) :

Câu 2 (3 điểm):
a, Ta có sơ đồ

Tổng số phần bằng nhau là
4 + 1= 5 phần
Chiều rộng thửa ruộng hình chữ nhật là:
75 : 5 x 1 = 15 (m)
Chiều dài thửa ruộng hình chữ nhật là:
75 - 15 = 60 (m)
Diện tích thửa ruộng hình chữ nhật là
60 x 15 = 900 (m2)
b, Thửa ruộng đó thu hoạch được số kg khoai là: 5 x (900 : 10) = 450 (kg) = 45 yến
Đáp số: a, 900 (m2) b, 45 yến
Câu 3 ( 1 điểm):

Đề thi Toán học kì 2 lớp 4 năm 2021 - 2022 (Đề số 3)
Câu 1: Giá trị chữ số 4 trong số 240 853 là:
A. 4
B. 40
C. 40853
D. 40 000
Câu 2: Trong các phân số

phân số tối giản là:


Câu 3: Quãng đường AB dài 6 km. Trên bản đồ tỉ lệ 1: 100 000, quãng đường từ A đến B đo được bao nhiêu cm?
A. 6 m
B. 6 cm
C. 6 dm
D. 60 cm
Câu 4: Hình thoi có diện tích là 30 dm2. Biết độ dài đường chéo thứ nhất là 6dm. Tính độ dài đường chéo thứ hai của hình bình thoi đó.
A. 24 dm
B. 5 dm
C. 10 dm
D. 5 dm
Câu 5: Để 244a chia hết cho cả 3 và 5 thì giá trị của a là
A.0
B.3
C. 5
D. 8
Câu 6: Chọn đáp án đúng
A. Hình có 4 cạnh bằng nhau là hình thoi.
B. Hình thoi có hai cặp cạnh đối diện, song song
C. Mỗi hình thoi đều là hình bình hành
D. Mỗi hình bình hành đều là hình thoi
Phần II. Tự luận (7 điểm)
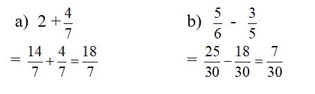
Câu 1 (3 điểm) :Tính


Câu 2 (3 điểm): Một thửa ruộng hình bình hành có độ dài đáy 60m, chiều cao bằng 4/5 độ dài đáy.
a, Tính diện tích thửa ruộng đó.
b, Trên thửa ruộng, người ta trồng ngô và trồng khoai; diện tích trồng ngô bằng 1/2 diện tích trồng khoai. Tính diện tích thửa ruộng dùng để trồng khoai?
Câu 3 (1 điểm): Tính bằng cách thuận tiện nhất:

Đáp án đề thi học kì 2 Toán lớp 4 năm 2021 - 2022 (Đề số 3)
Phần I. Trắc nghiệm (3 điểm)
Mỗi câu đúng được 0,5 điểm:
| Câu 1 | Câu 2 | Câu 3 | Câu 4 | Câu 5 | Câu 6 |
|---|---|---|---|---|---|
| D | D | B | C | C | C |
Phần II. Tự luận (7 điểm)
Câu 1 (3 điểm)


Câu 2 (3 điểm)
a. Chiều cao thửa ruộng hình bình hành là: 60 x = 48 (m)
Diện tích thửa ruộng hình bình hành là: 60 x 48 = 2880 (m2)
b, HS vẽ sơ đồ

Tổng số phần bằng nhau là: 1 + 2 = 3 (phần)
Diện tích trồng khoai là: 2880 : 3 x 2 = 1920 (m2)
Đáp số: 2880 (m2); 1920 (m2)
Câu 3 ( 1 điểm)

Bộ đề Toán lớp 4 kì 2 năm 2021-2022 được Khoahoc chia sẻ trên đây. Hy vọng với tài liệu này sẽ giúp ích cho các em có thêm tài liệu tham khảo, trau dồi thêm kỹ năng giải đề thi cũng như chuẩn bị tốt cho bài kiểm tra cuối học kì 2 lớp 4 sắp tới. Chúc các em ôn thi tốt, ngoài ra các em có thể tham khảo các môn học khác có tại tài liệu học tập lớp 4 này nhé.