Đề thi thử THPT quốc gia môn toán năm 2017- Đề tham khảo số 9
Đề thi này khá hay và có một số câu phân loại hay và mới.
Câu 6: Cho đồ thị hàm số
. Khẳng định nào sau đây là đúng?
- Tồn tại hình chữ nhật có bốn đỉnh thuộc đồ thị hàm số trên.
- Không tìm được độ dài lớn nhất của đoạn OA với O là gốc tọa độ còn A là điểm di động trên đồ thị.
- Đường thẳng y=2 tiếp xúc với đồ thị hàm sô.
A. Khẳng định 2, 3.
B. Khẳng định 1,2, 3.
C. Khẳng định 3.
D. Khẳng định 2.
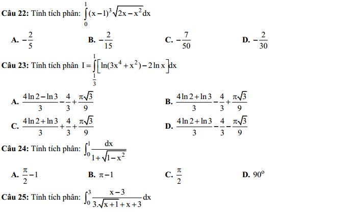
Câu 26: Tính tích phân 
A.
.
B.
.
C.
.
D.
.
Câu 27: Giải phương trình
.
A.
.
B.
.
C.
.
D.
.












B. BÀI TẬP VÀ HƯỚNG DẪN GIẢI
Kiến thức thú vị
Xem thêm bài viết khác
- Đề và đáp án môn Toán mã đề 102 thi THPT quốc gia năm 2017 đáp án của bộ GD-ĐT
- Đề và đáp án môn Toán mã đề 101 thi THPT quốc gia năm 2017 đáp án của bộ GD-ĐT
- Thi THPTQG 2020: Đề thi và đáp án môn Toán mã đề 115
- Hướng dẫn giải bài 44- Đề thi thử THPT Quốc gia môn toán năm 2017 của Sở GD- ĐT Hồ Chí Minh- cụm chuyên môn VI
- Thi THPTQG 2019: Đề thi và đáp án môn Toán mã đề 118
- Đề thi thử THPT quốc gia môn toán năm 2017 của trường THPT chuyên Phan Bội Châu lần 1
- Thi THPTQG 2019: Đề thi và đáp án môn Toán mã đề 102
- Đáp án Đề thi thử THPT quốc gia môn toán năm 2017 của Sở Giáo dục và đào tạo tỉnh Hưng Yên
- Lời giải bài số 1, 17, 46- Đề thi thử THPT Quốc gia môn Toán năm 2017 trường THPT Đông Sơn 1
- Lời giải bài số 1, 4 Đề thi khảo sát chất lượng môn toán năm 2017- Trường THPT Trần Phú- Yên Lạc
- Đề và đáp án môn Toán mã đề 106 thi THPT quốc gia năm 2017 đáp án của bộ GD-ĐT
- Thi THPTQG 2019: Đề thi và đáp án môn Toán mã đề 115