Trắc nghiệm đại số và giải tích 12 Chương 3: Nguyên hàm. Tích phân và ứng dụng (P2)
Bài có đáp án. Bộ bài tập trắc nghiệm Chương 3: Nguyên hàm. Tích phân và ứng dụng . Học sinh luyện tập bằng cách chọn đáp án của mình trong từng câu hỏi. Dưới cùng của bài trắc nghiệm, có phần xem kết quả để biết bài làm của mình. Kéo xuống dưới để bắt đầu.
Câu 1: Diện tích hình phẳng giới hạn bởi
và $y = 6x - x^{2}$ là:
- A. 9
- B. 9/2
- C. 0
- D. Kết quả khác.
Câu 2: Diện tích hình phẳng giới hạn bởi đường cong:
, tiếp tuyến với đường cong này tại M(2;5) và trục Oy là:
- A. 0
- B. -8/3
- C. 8/3
- D. Kết quả khác .
Câu 3: Tính thể tích vật thể tròn xoay quanh trục Oy sinh bởi hình phẳng giới hạn bởi các đường y = 2, y = 4 , y = x2/2 .
- A. 12π
- B. -12π
- C. 16π
- D. -16π
Câu 4: Diện tích hình phẳng giới hạn bởi ay = x2 và ax = y2 là:
- A. -a3/3
- B. a3/3
- C. a2
- D. -a2
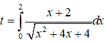
Câu 5: Một vật chuyển động với vận tốc

Quãng đường vật đi được sau 4s xấp xỉ bằng:
- A. 11m
- B. 12m
- C. 13m
- D. 14m.
Câu 6: Một ô tô đang chạy với vận tốc 10m/s thì người lái đạp phanh, từ thời điểm đó, ô tô chuyển động chậm dần đều với vận tốc v(t) = -5t + 10(m/s), trong đó t là khoảng thời gian tính bằng giây , kể từ lúc bắt đầu đạp phanh .Hỏi từ lúc đạp phanh đến khi dừng hẳn, ô tô còn di chuyển bao nhiêu mét?
- A.0,2m
- B.2m
- C.10m
- D.20m.
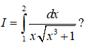
Câu 7: Tìm m để

là nghiệm phương trình: mt3 + 3t2 + m - 3
- A. m = 2
- B. m = -1
- C. m = 4
- D. Giá trị khác.
Câu 8: Tính diện tích hình phẳng giới hạn bởi đồ thị hàm số

và đường thẳng y = x+2.
- A. 1/12
- B. 1/6
- C. 1/3
- D. 1/2
Câu 9: Có thể khẳng định gì về kết quả của tích phân

- A. Chứa ln3
- B. Chứa ln2
- C. Chứa cả ln3 và ln2
- D. Không chứa ln3 và ln2.
Câu 10: Tìm I = ∫lnxdx .
- A. I = xlnx - x + C
- B. I = xlnx + C
- C. I = xlnx + x + C
- D. I = 1/x + C
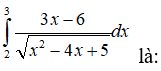
Câu 11: Kết quả của

- A. 3 - 3√2
- B. 3√2 - 1
- C. 3(√2 - 1)
- D. 2(√3 - 1)
Xem thêm bài viết khác
- Trắc nghiệm Hình học 12 Chương 1: Khối đa diện (P3)
- Trắc nghiệm Hình học 12 chương 3: Phương pháp tọa độ trong không gian (p2)
- Trắc nghiệm hình học 12 bài 2: Phương trình mặt phẳng
- Trắc nghiệm đại số và giải tích 12 Chương 2: Hàm số lũy thừa. Hàm số mũ và hàm số logarit (P2)
- Trắc nghiệm đại số và giải tích 12 chương 1:Ứng dụng đạo hàm để khảo sát và vẽ đồ thị hàm số (P1)
- Trắc nghiệm hình học 12 bài Ôn tập chương I: Khối đa diện
- Câu hỏi và bài tập trắc nghiệm toán 12 bài 3: Giá trị lớn nhất và giá trị nhỏ nhất của hàm số
- Câu hỏi và bài tập trắc nghiệm toán 12 bài 4: Đường tiệm cận
- Trắc nghiệm hình học 12 bài Ôn tập chương II - mặt nón, mặt trụ, mặt cầu
- Trắc nghiệm Hình học 12 chương 3: Phương pháp tọa độ trong không gian (p3)
- Câu hỏi và bài tập trắc nghiệm toán 12 bài 6: bất phương trình mũ và bất phương trình lôgarit
- Trắc nghiệm đại số và giải tích 12 chương 1:Ứng dụng đạo hàm để khảo sát và vẽ đồ thị hàm số