- Tất cả
-
Tài liệu hay -
Toán Học -
Soạn Văn - Soạn đầy đủ
- Tiếng Việt 2 tập 2 KNTT
- Tiếng Việt 2 CTST
- Tiếng Việt 2 sách Cánh Diều
- Tiếng Việt 3 tập 2
- Tiếng Việt 3 tập 1
- Tiếng Việt 4 tập 2
- Tiếng Việt 4 tập 1
- Tiếng Việt 5 tập 2
- Tiếng Việt 5 tập 1
- Soạn văn 6
- Soạn văn 7
- Soạn văn 8 tập 1
- Soạn văn 8 tập 2
- Soạn văn 9 tâp 1
- Soạn văn 9 tập 2
- Soạn văn 10 tập 1
- Soạn văn 10 tập 2
- Soạn văn 11
- Soạn văn 12
- Soạn ngắn gọn
- Soạn văn 12 ngắn gọn tập 1
- Soạn văn 12 ngắn gọn tập 2
- Soạn văn 11 ngắn gọn tập 1
- Soạn văn 11 ngắn gọn tập 2
- Soạn văn 10 ngắn gọn tập 1
- Soạn văn 10 ngắn gọn tập 2
- Soạn văn 9 ngắn gọn tập 1
- Soạn văn 9 ngắn gọn tập 2
- Soạn văn 8 ngắn gọn tập 1
- Soạn văn 8 ngắn gọn tập 2
- Soạn văn 7 ngắn gọn tập 1
- Soạn văn 7 ngắn gọn tập 2
- Ngữ văn VNEN
- Đề thi THPT QG môn Ngữ Văn
- Soạn đầy đủ
-
Tiếng Anh -
Vật Lý -
Hóa Học -
Sinh Học -
Lịch Sử -
Địa Lý -
GDCD -
Khoa Học Tự Nhiên -
Khoa Học Xã Hội
-
Giải câu 4 bài: Tích phân
Câu 4:Trang 113 - sgk giải tích 12
Sử dụng phương pháp tích phân tưng phần, hãy tính tích phân:
a) 
b) ![]()
c) 
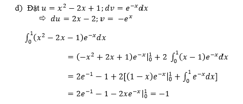
d) 
Bài làm:


Cập nhật: 07/09/2021
Xem thêm bài viết khác
- Giải câu 4 bài: Cộng, trừ và nhân số phức
- Giải câu 3 bài: Hàm số lũy thừa
- Giải câu 1 bài: Hàm số lũy thừa
- Dạng 1: Tìm điều kiện của tham số để hàm phân thức đồng biến trên từng khoảng xác định
- Giải câu 4 bài 1: Sự đồng biến, nghịch biến của hàm số
- Dạng 2: Bài toán lãi kép
- Giải câu 3 bài: Ôn tập chương 3
- Giải câu 1 bài 5: Khảo sát sự biến thiên và vẽ đồ thị của hàm số
- Giải câu 3 bài: Tích phân
- Giải bài 4: Phương trình bậc hai với hệ số thực
- Dạng 1: Giải phương trình mũ và lôgarit bằng phương pháp đặt ẩn phụ
- Dạng 3: Xét dấu các hệ số của hàm bậc nhất trên bậc nhất, phân tích đồ thị hàm số.