Giải câu 37 bài 5: Luyện tập sgk Toán đại 8 tập 1 Trang 17
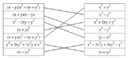
Câu 37: Trang 17 - sgk toán 8 tập 1
Dùng bút chì nối các biểu thức sao cho chúng tạo thành hai vế của một hằng đẳng thức (theo mẫu)

Bài làm:
Áp dụng các hằng đẳng thức đã học , ta có kết quả như sau :

Xem thêm bài viết khác
- Giải câu 31 bài 5: Những hằng đẳng thức đáng nhớ (tiếp) sgk Toán đại 8 tập 1 Trang 16
- Giải bài 10: Đường thẳng song song với đường thẳng cho trước sgk Toán 8 tập 1 Trang 100 103
- Giải câu 57 bài: Luyện tập sgk Toán 8 tập 1 Trang 96
- Giải câu 76 bài 11: Hình thoi sgk Toán hình 8 tập 1 Trang 106
- Giải câu 26 bài: Luyện tập sgk Toán 8 tập 1 Trang 47
- Giải câu 44 bài 7: Phân tích đa thức thành nhân tử bằng phương pháp dùng hằng đẳng thức sgk Toán đại 8 tập 1 Trang 20
- Giải câu 77 bài: Ôn tập chương 1 sgk Toán Đại 8 tập 1 Trang 33
- Giải câu 74 bài 11: Hình thoi sgk Toán hình 8 tập 1 Trang 106
- Giải câu 59 bài: Ôn tập chương II Phân thức đại số sgk Toán 8 tập 1 Trang 62
- Giải câu 24 bài 5: Phép cộng các phân thức đại số sgk Toán 8 tập 1 Trang 46
- Giải câu 38 bài 5: Luyện tập sgk Toán đại 8 tập 1 Trang 17
- Giải câu 39 bài 6: Phân tích đa thức thành nhân tử bằng phương pháp đặt nhân tử chung sgk Toán đại 8 tập 1 Trang 19