- Tất cả
-
Tài liệu hay -
Toán Học -
Soạn Văn - Soạn đầy đủ
- Tiếng Việt 2 tập 2 KNTT
- Tiếng Việt 2 CTST
- Tiếng Việt 2 sách Cánh Diều
- Tiếng Việt 3 tập 2
- Tiếng Việt 3 tập 1
- Tiếng Việt 4 tập 2
- Tiếng Việt 4 tập 1
- Tiếng Việt 5 tập 2
- Tiếng Việt 5 tập 1
- Soạn văn 6
- Soạn văn 7
- Soạn văn 8 tập 1
- Soạn văn 8 tập 2
- Soạn văn 9 tâp 1
- Soạn văn 9 tập 2
- Soạn văn 10 tập 1
- Soạn văn 10 tập 2
- Soạn văn 11
- Soạn văn 12
- Soạn ngắn gọn
- Soạn văn 12 ngắn gọn tập 1
- Soạn văn 12 ngắn gọn tập 2
- Soạn văn 11 ngắn gọn tập 1
- Soạn văn 11 ngắn gọn tập 2
- Soạn văn 10 ngắn gọn tập 1
- Soạn văn 10 ngắn gọn tập 2
- Soạn văn 9 ngắn gọn tập 1
- Soạn văn 9 ngắn gọn tập 2
- Soạn văn 8 ngắn gọn tập 1
- Soạn văn 8 ngắn gọn tập 2
- Soạn văn 7 ngắn gọn tập 1
- Soạn văn 7 ngắn gọn tập 2
- Ngữ văn VNEN
- Đề thi THPT QG môn Ngữ Văn
- Soạn đầy đủ
-
Tiếng Anh -
Vật Lý -
Hóa Học -
Sinh Học -
Lịch Sử -
Địa Lý -
GDCD -
Khoa Học Tự Nhiên -
Khoa Học Xã Hội
-
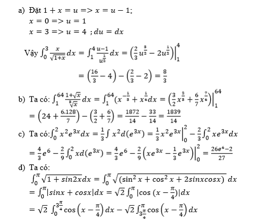
Giải câu 5 bài: Ôn tập chương 3
Câu 5:Trang 127-sgk giải tích 12
Tính:
a) 
b) ![\int_{1}^{64}\frac{1+\sqrt{x}}{\sqrt[3]{x}}dx](https://i.khoahoc.com.vn/data/image/holder.png)
c) 
d) 
Bài làm:

Cập nhật: 07/09/2021
Xem thêm bài viết khác
- Dạng 3: Giải bất phương trình mũ và lôgarit bằng phương pháp đưa về cùng cơ số
- Đường thẳng đi qua các điểm cực trị
- Toán 12: Đề kiểm tra học kì 2 dạng trắc nghiệm (Đề 10)
- Giải câu 1 bài 4: Đường tiệm cận
- Giải câu 5 bài: Ứng dụng của tích phân trong hình học
- Toán 12: Đề kiểm tra học kì 2 dạng trắc nghiệm (Đề 4)
- Dạng 4: Tính đơn điệu của hàm hợp
- Giải câu 4 bài 1: Sự đồng biến, nghịch biến của hàm số
- Giải câu 3 bài: Phép chia số phức
- Dạng 2: Bài toán lãi kép
- Giải câu 2 bài: Phương trình mũ. Phương trình Lôgarit
- Giải câu 1 bài: Hàm số mũ. Hàm số Lôgarit