Giải câu 67 bài 12: Chia đa thức một biến đã sắp xếp sgk Toán 8 tập 1 Trang 31
Câu 67 : Trang 31 sgk toán 8 tập 1
Sắp xếp các đa thức theo lũy thừa giảm dần của biến rồi làm phép chia:
a) (x3 – 7x + 3 – x2) : (x – 3);
b) (2x4 – 3x2 – 3x2 – 2 + 6x) : (x2 – 2).
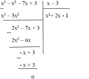
Bài làm:
Hướng dẫn: Sắp xếp các đã thức theo lũy thừa giảm, đặt phép tính và tính.
a) (x3 – 7x + 3 – x2) : (x – 3);

b) (2x4 – 3x2 – 3x2 – 2 + 6x) : (x2 – 2).

Xem thêm bài viết khác
- Giải câu 61 bài 10: Chia đơn thức cho đơn thức sgk Toán đại 8 tập 1 Trang 27
- Giải câu 51 bài 9: Phân tích đa thức thành nhân tử bằng cách phối hợp nhiều phương pháp sgk Toán đại 8 tập 1 Trang 24
- Giải câu 3 bài 1: Phân thức đại số sgk Toán 8 tập 1 Trang 36
- Giải câu 27 bài 4: Những hằng đẳng thức đáng nhớ (tiếp) sgk Toán đại 8 tập 1 Trang 14
- Giải câu 22 bài 5: Phép cộng các phân thức đại số sgk Toán 8 tập 1 Trang 46
- Giải câu 67 bài 10: Đường thẳng song song với đường thẳng cho trước sgk Toán 8 tập 1 Trang 102
- Giải câu 75 bài 11: Hình thoi sgk Toán hình 8 tập 1 Trang 106
- Giải bài 4: Quy đồng mẫu thức sgk Toán 8 tập 1 Trang 40 44
- Giải câu 48 bài 8: Phân tích đa thức thành nhân tử bằng phương pháp nhóm hạng tử sgk Toán đại 8 tập 1 trang 22
- Giải câu 44 bài 7: Phân tích đa thức thành nhân tử bằng phương pháp dùng hằng đẳng thức sgk Toán đại 8 tập 1 Trang 20
- Giải câu 2 bài 1: Nhân đơn thức với đa thức sgk Toán đại 8 tập 1 Trang 5
- Giải câu 30 bài 5: Dựng hình bằng thước và compa. Dựng hình thang sgk Toán 8 tập 1 Trang 83