-
Tất cả
-
Tài liệu hay
-
Toán Học
-
Soạn Văn
-
Soạn đầy đủ
- Tiếng Việt 2 tập 2 KNTT
- Tiếng Việt 2 CTST
- Tiếng Việt 2 sách Cánh Diều
- Tiếng Việt 3 tập 2
- Tiếng Việt 3 tập 1
- Tiếng Việt 4 tập 2
- Tiếng Việt 4 tập 1
- Tiếng Việt 5 tập 2
- Tiếng Việt 5 tập 1
- Soạn văn 6
- Soạn văn 7
- Soạn văn 8 tập 1
- Soạn văn 8 tập 2
- Soạn văn 9 tâp 1
- Soạn văn 9 tập 2
- Soạn văn 10 tập 1
- Soạn văn 10 tập 2
- Soạn văn 11
- Soạn văn 12
-
Soạn ngắn gọn
- Soạn văn 12 ngắn gọn tập 1
- Soạn văn 12 ngắn gọn tập 2
- Soạn văn 11 ngắn gọn tập 1
- Soạn văn 11 ngắn gọn tập 2
- Soạn văn 10 ngắn gọn tập 1
- Soạn văn 10 ngắn gọn tập 2
- Soạn văn 9 ngắn gọn tập 1
- Soạn văn 9 ngắn gọn tập 2
- Soạn văn 8 ngắn gọn tập 1
- Soạn văn 8 ngắn gọn tập 2
- Soạn văn 7 ngắn gọn tập 1
- Soạn văn 7 ngắn gọn tập 2
- Ngữ văn VNEN
- Đề thi THPT QG môn Ngữ Văn
-
Soạn đầy đủ
-
Tiếng Anh
-
Vật Lý
-
Hóa Học
-
Sinh Học
-
Lịch Sử
-
Địa Lý
-
GDCD
-
Khoa Học Tự Nhiên
-
Khoa Học Xã Hội
-
Giải câu 5 bài 3: Một số phương trình lượng giác thường gặp
Câu 5: Trang 37 - sgk đại số và giải tích 11
Giải các phương trình sau:
![]()
![]()
Bài làm:
(1)
Chia cả 2 về của (1) cho 2 ta được:
(1)
Chia cả hai về của (1) cho 5 ta được:

<=>
(1)
Chia cả hai vế của (1) cho
ta được;
![]()
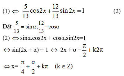
<=> 5cos2x + 12 sin2x = 13 (1)
Chia cả hai vế của phương trình (1) cho 13 ta được:

Cập nhật: 07/09/2021
Xem thêm bài viết khác
- Giải câu 2 bài 1: Giới hạn của dãy số
- Giải bài 5: Đạo hàm cấp hai
- Giải câu 7 bài 2: Giới hạn của hàm số
- Giải câu 15 bài Ôn tập cuối năm
- Giải câu 6 bài 3: Một số phương trình lượng giác thường gặp
- Giải câu 5 bài 1: Hàm số lượng giác
- Giải câu 4 Bài 4: Phép thử và biến cố
- Giải câu 4 bài 2: Dãy số
- Giải câu 4 bài 1: Phương pháp quy nạp toán học
- Giải câu 5 bài 3: Một số phương trình lượng giác thường gặp
- Giải câu 2 bài 3: Cấp số cộng
- Giải câu 5 bài 2: Phương trình lượng giác cơ bản