Trắc nghiệm hóa học 11 bài 22: Cấu trúc phân tử hợp chất hữu cơ
Bài có đáp án. Câu hỏi và bài tập Trắc nghiệm hóa học 11 bài 22: Cấu trúc phân tử hợp chất hữu cơ. Học sinh luyện tập bằng cách chọn đáp án của mình trong từng câu hỏi. Dưới cùng của bài trắc nghiệm, có phần xem kết quả để biết bài làm của mình. Kéo xuống dưới để bắt đầu.
Câu 1: Điều khẳng định nào sau đây là đúng?
- A. Hai chất đồng phân có cùng công thức phân tử
- B. Hai chất đồng phân có cùng công thức cấu tạo
- C. Hai chất đồng phân thuộc cùng một dãy đồng đẳng
- D. Hai chất đồng phân có tính chất hóa học tương tự nhau
Câu 2: Đốt cháy hoàn toàn 1,5 gam mỗi chất hữu cơ X, Y, Z đều thu được 0,9 gam H
O và 2,2 gam CO
. Điều nào khẳng định sau đây là đúng?
- A. X, Y, Z là các đồng phân của nhau
- B. X, Y, Z là các đồng đẳng của nhau
- C. X, Y, Z có cùng công thức đơn giản
- D. Chưa đủ dữ kiện
Câu 3: Hợp chất nguyên tử C bất đối xứng là:
- A.

- B.

- C.

- D.

Câu 4: Các đồng phân lập thể có:
- A. cấu tạo hóa học khác nhau
- B. cấu tạo hóa học giống nhau
- C. cấu trúc không gian khác nhau
- D. cấu trúc không gian giống nhau
Câu 5: Trong hợp chất hữu cơ, giữa hai nguyên tử cacbon:
- A. Có ít nhất một liên kết

- B. Có ít nhất một liên kết

- C. Có thể có một liên kết đôi
- D. Có thể có một liên kết ba
Câu 6: Hãy chọn định nghĩa đúng về đồng phân?
- A. Đồng phân là những chất có cùng khối lượng phân tử nhưng có tính chất khác nhau
- B. Đồng phân là những chất có tính chất hóa học giống nhau và công thức cấu tạo hoàn toàn giống nhau
- C. Đồng phân là những chất có cùng công thức phân tử và tính chất hóa học hoàn toàn giống nhau
- D. Đồng phân là những chất có cùng công thức phân tử nhưng có cấu tạo khác nhau nên tính chất hóa học khác nhau
Câu 7: Chất nào sau đây trong phân tử chỉ có liên kết đơn?
- A. C
H$_{4}$ - B. C
H
- C. C
H
- D. C
H$_{6}$
Câu 8: Cặp chất nào sau đây là đồng phân của nhau?
- A. C
H$_{5}$OH và CH$_{3}$OCH$_{3}$ - B. CH
OCH
và CH
CHO - C. CH
OH và C$_{2}$H$_{5}$OH - D. CH
CH$_{2}$Cl và CH
CH$_{2}$OH
Câu 9: Hợp chất hữu cơ X có công thức đơn giản nhất là C
H$_{4}$OTỷ khối hơi của X so với hidro là 44. X có bao nhiêu đồng phân?
- A. 10
- B. 13
- C. 15
- D. 17
Câu 10: Trong số các chất:
C
H$_{8}$, C
H$_{7}$Cl; C
H$_{8}$O; C
H$_{9}$N
Chất có nhiều đồng phân nhất là?
- A. C
H$_{7}$Cl - B. C
H$_{8}$ - C. C
H$_{9}$N - D. C
H$_{8}$O
Câu 11: Hợp chất nào sau đây có đồng phân hình học?
(1). CH
CH$_{2}$CH$_{2}$CH![]()
(2). CH
CH$_{2}$CH=CH$_{2}$
(3). CH
CH=CHCH![]()
(4). CH
CH=CHCH$_{2}$CH![]()
(5). CH
CH=CHCl$_{2}$
- A. 3,4
- B. 2,3,4,5
- C. 3,4,5
- D. 1,2,5
Câu 12: Chất hữu cơ B và A với thành phần phân tử chỉ có C và H, B có khối lượng phân tử lớn hơn A là 14 đvC. Vậy A và B là?
- A. Đồng đẳng kế tiếp
- B. Đồng phân với nhau
- C. Đồng đẳng với nhau
- D. Không thể xác định
Câu 13: Hợp chất hữu cơ sau có công thức phân tử là:

- A. C
H_{20}$O - B. C
H$_{22}$O - C. C
H$_{14}$O - D. C
H$_{22}$O
Câu 14: Butan C
H$_{10} có thể có dạng đồng phân nào sau đây?
- A. Đồng phân cấu tạo về nhóm chức
- B. Đồng phân cấu tạo về mạch cacbon
- C. Đồng phân cấu tạo về vị trí nhóm chức
- D. Đồng phân hình học
Câu 15: Hợp chất hữu cơ X chứa C, H, O. Tỉ khối hơi của X so với H
là 30. Số công thức cấu tạo mạch hở của X có khả năng tác dụng với Na giải phóng khí H
là?
- A. 2
- B. 3
- C. 4
- D. 5
Câu 16: Chất có công thức cấu tạo sau có tên gọi là?

- A. 1,1-đimetyl-2-etylxiclohexan
- B. 2-etyl-1.1-đimetylxiclohexan
- C. 6-etyl-1,1-đimetylxiclohexan
- D. 6,6-ddimetyl-1-etylxiclohexan
Câu 17: Cặp chất nào sau đây là đồng đẳng của nhau?
- A. CH
OH, CH
OCH
- B. CH
OH, C$_{2}$H$_{5}$OH - C. CH
OCH
, CH
CHO - D. CH
CH$_{2}$OH. C
H$_{6}$(OH)$_{2}$
Câu 18: Số công thức cấu tạo mạch có thể ứng với công thức phân tử của C
H$_{10}$ là?
- A. 5
- B. 6
- C. 3
- D. 4
Câu 19: Số công thức cấu tạo có thể ứng với công thức phân tử C
H$_{6}$Cl$_{2}$ là?
- A. 5
- B. 2
- C. 3
- D. 4
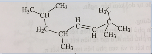
Câu 20: Cho hợp chất sau:

Nhận xét đúng về bậc C là:
- A. Có 5 nguyên tử bậc I, 2 nguyên tử bậc II, 3 nguyên tử bậc III, 1 nguyên tử bậc IV
- B. Có 5 nguyên tử bậc I, 3 nguyên tử bậc II, 2 nguyên tử bậc III, 1 nguyên tử bậc IV
- C. Có 4 nguyên tử bậc I, 4 nguyên tử bậc II, 2 nguyên tử bậc III, 1 nguyên tử bậc IV
- D. Có 5 nguyên tử bậc I, 1 nguyên tử bậc II, 4 nguyên tử bậc III, 1 nguyên tử bậc IV