- Tất cả
-
Tài liệu hay -
Toán Học -
Soạn Văn - Soạn đầy đủ
- Tiếng Việt 2 tập 2 KNTT
- Tiếng Việt 2 CTST
- Tiếng Việt 2 sách Cánh Diều
- Tiếng Việt 3 tập 2
- Tiếng Việt 3 tập 1
- Tiếng Việt 4 tập 2
- Tiếng Việt 4 tập 1
- Tiếng Việt 5 tập 2
- Tiếng Việt 5 tập 1
- Soạn văn 6
- Soạn văn 7
- Soạn văn 8 tập 1
- Soạn văn 8 tập 2
- Soạn văn 9 tâp 1
- Soạn văn 9 tập 2
- Soạn văn 10 tập 1
- Soạn văn 10 tập 2
- Soạn văn 11
- Soạn văn 12
- Soạn ngắn gọn
- Soạn văn 12 ngắn gọn tập 1
- Soạn văn 12 ngắn gọn tập 2
- Soạn văn 11 ngắn gọn tập 1
- Soạn văn 11 ngắn gọn tập 2
- Soạn văn 10 ngắn gọn tập 1
- Soạn văn 10 ngắn gọn tập 2
- Soạn văn 9 ngắn gọn tập 1
- Soạn văn 9 ngắn gọn tập 2
- Soạn văn 8 ngắn gọn tập 1
- Soạn văn 8 ngắn gọn tập 2
- Soạn văn 7 ngắn gọn tập 1
- Soạn văn 7 ngắn gọn tập 2
- Ngữ văn VNEN
- Đề thi THPT QG môn Ngữ Văn
- Soạn đầy đủ
-
Tiếng Anh -
Vật Lý -
Hóa Học -
Sinh Học -
Lịch Sử -
Địa Lý -
GDCD -
Khoa Học Tự Nhiên -
Khoa Học Xã Hội
-
Đề và đáp án môn Toán mã đề 110 thi THPT quốc gia năm 2017 đáp án của bộ GD-ĐT
Dưới đây là đề và đáp án chính thức môn Toán, mã đề 110 thi THPT quốc gia năm 2017 do bộ giáo dục và đào tạo công bố. Các bạn thí sinh có mã đề như trên căn cứ vào đây để đánh giá điểm sơ bộ. Trên mạng có thể có nhiều đáp án, nhưng đây mới là đáp án chính thức. Đề và đáp án đều xem tốt trên điện thoại di động và các thiết bị khác. Mời các bạn cùng tham khảo
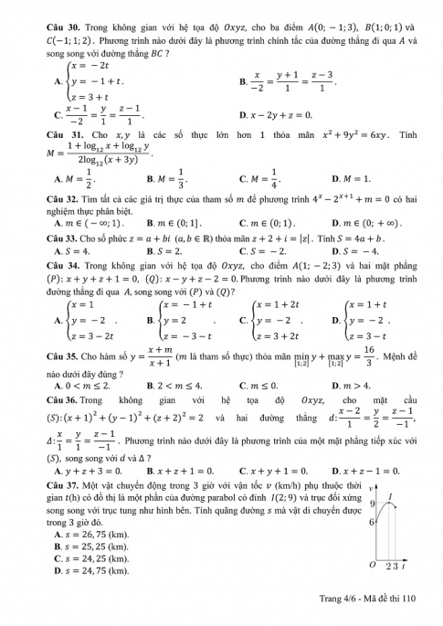
Đề và đáp án môn Toán mã đề 110 thi THPT quốc gia năm 2017 - đáp án chính thức của bộ






Đáp án đề mã đề 110
1.D | 11.C | 21.B | 31.D | 41.C |
2.D | 12.B | 22.D | 32.C | 42.B |
3.A | 13.B | 23.D | 33.D | 43.B |
4.A | 14.B | 24.A | 34.D | 44.B |
5.C | 15.A | 25.A | 35.D | 45.D |
6.A | 16.B | 26.C | 36.B | 46.B |
7.B | 17.C | 27.A | 37.D | 47.D |
8.A | 18.C | 28.A | 38.C | 48.B |
9.A | 19.D | 29.A | 39.A | 49.A |
10.B | 20.C | 30.B | 40.C | 50.A |
Như vậy, kì thi THPT Quốc gia năm 2017 đã khép lại. Chắc hẳn các bạn thí sinh đều đang trong tâm trạng hồi hộp chờ đợi kết quả và dõi theo các thông tin tuyển sinh của các trường Đại học, Cao đẳng trên cả nước. KhoaHoc sẽ nhanh chóng cập nhật tin tức đến các bạn. Chúc các bạn sẽ đạt kết quả thật tốt và bước vào ngôi trường Đại học mà mình mong muốn.
- Đề minh họa 2022 môn Toán Đề tham khảo thi tốt nghiệp 2022 môn Toán - có đáp án
- Tuyển tập, sưu tầm những đề thi THPT quốc gia môn Toán mới nhất năm 2020. Các đề thi sẽ liên tục được cập nhật và bổ sung. Hi vọng rằng,các sỹ tử sẽ tìm ra được sự hữu ích
- 1. Đề và đáp án môn Toán kì thi THPTQG năm 2020
- Đề thi và đáp án: Mã đề 101
- Đề thi và đáp án: Mã đề 103
- Đề thi và đáp án: Mã đề 105
- Đề thi và đáp án: Mã đề 107
- Đề thi và đáp án: Mã đề 109
- Đề thi và đáp án: Mã đề 111
- Đề thi và đáp án: Mã đề 113
- Đề thi và đáp án: Mã đề 115
- Đề thi và đáp án: Mã đề 117
- Đề thi và đáp án: Mã đề 119
- Đề thi và đáp án: Mã đề 121
- Đề thi và đáp án: Mã đề 123
- 2. Đề và đáp án môn Toán kì thi THPTQG năm 2019
- Đề thi và đáp án môn Toán: Mã đề 101
- Đề thi và đáp án môn Toán: Mã đề 103
- Đề thi và đáp án môn Toán: Mã đề 105
- Đề thi và đáp án môn Toán: Mã đề 107
- Đề thi và đáp án môn Toán: Mã đề 109
- Đề thi và đáp án môn Toán: Mã đề 111
- Đề thi và đáp án môn Toán: Mã đề 113
- Đề thi và đáp án môn Toán: Mã đề 115
- Đề thi và đáp án môn Toán: Mã đề 117
- Đề thi và đáp án môn Toán: Mã đề 119
- Đề thi và đáp án môn Toán: Mã đề 121
- Đề thi và đáp án môn Toán: Mã đề 123
- 3. Đề luyện thi môn Toán mới nhất năm 2018
- 4. Đề luyện thi môn Toán những năm trước
- Đề thi thử THPT quốc gia môn toán năm 2017 của trường THPT chuyên- ĐH Vinh lần 3
- Đề thi thử THPT quốc gia môn toán năm 2017 của trường THPT chuyên Thái Bình lần 4
- Đề thi thử THPT quốc gia môn toán năm 2017 của trường THPT Hà Huy Tập lần 1
- Đề thi thử THPT quốc gia môn toán năm 2017- Đề tham khảo số 3
- Đề thi khảo sát chất lượng môn toán năm 2017- Sở giáo dục đào tạo Thanh Hóa
- Đề thi minh họa THPT Quốc gia năm 2017 của Bộ Giáo dục và đào tạo lần 3
- Đề thi thử THPT quốc gia môn toán năm 2017 của GSTT
- Đề thi thử THPT quốc gia môn toán năm 2017- Đề tham khảo số 5
- Đề thi thử THPT quốc gia môn toán năm 2017 của Sở giáo dục và đào tạo tỉnh Hải Phòng
- Đề thi thử THPT quốc gia môn toán năm 2017 của trường THPT chuyên Thái Bình lần 5
- Đề thi thử THPT quốc gia môn toán năm 2017- Đề tham khảo số 7
- Đề thi thử THPT quốc gia môn toán năm 2017- Đề tham khảo số 2
- Đề thi thử THPT quốc gia môn toán năm 2017 của trường Sở GD-ĐT Bắc Giang
- Đề thi thử THPT quốc gia môn toán năm 2017- Đề tham khảo số 11
- Đề thi thử THPT quốc gia môn toán năm 2017- Đề tham khảo số 13
- 5. Đề và đáp án môn Toán kì thi THPTQG năm 2017
- Đề và đáp án môn Toán mã đề 102 thi THPT quốc gia năm 2017 đáp án của bộ GD-ĐT
- Đề và đáp án môn Toán mã đề 104 thi THPT quốc gia năm 2017 đáp án của bộ GD-ĐT
- Đề và đáp án môn Toán mã đề 106 thi THPT quốc gia năm 2017 đáp án của bộ GD-ĐT
- Đề và đáp án môn Toán mã đề 108 thi THPT quốc gia năm 2017 đáp án của bộ GD-ĐT
- Đề và đáp án môn Toán mã đề 110 thi THPT quốc gia năm 2017 đáp án của bộ GD-ĐT
- Đề và đáp án môn Toán mã đề 112 thi THPT quốc gia năm 2017 đáp án của bộ GD-ĐT
- Đề và đáp án môn Toán mã đề 114 thi THPT quốc gia năm 2017 đáp án của bộ GD-ĐT
- Đề và đáp án môn Toán mã đề 116 thi THPT quốc gia năm 2017 đáp án của bộ GD-ĐT
- Đề và đáp án môn Toán mã đề 118 thi THPT quốc gia năm 2017 đáp án của bộ GD-ĐT
- Đề và đáp án môn Toán mã đề 120 thi THPT quốc gia năm 2017 đáp án của bộ GD-ĐT
- Đề và đáp án môn Toán mã đề 122 thi THPT quốc gia năm 2017 đáp án của bộ GD-ĐT
- Đề và đáp án môn Toán mã đề 124 thi THPT quốc gia năm 2017 đáp án của bộ GD-ĐT
- 1. Đề và đáp án môn Toán kì thi THPTQG năm 2020