Đề thi thử THPT quốc gia môn toán năm 2017 của trường THPT chuyên- ĐH Vinh lần 3
Đây là đề thi thử THPT quốc gia môn toán năm 2017 của trường THPT chuyên- ĐH Vinh lần 3. Đề khá bám sát chương trình thi THPT Quốc gia với ba mức: nhận biết- thông hiểu, vận dụng, vận dụng cao.
Đề thi thử THPT quốc gia môn toán năm 2017 của trường THPT chuyên- ĐH Vinh lần 3
Câu 1: Cho hàm số
có đồ thị như hình bên. Biết rằng
là một trong bốn hàm số được đưa ra trong các phương án A, B, C, D dưới đây. Tìm
.
| A. | B. |
| C. | D. |
Câu 2: Cho hàm số
liên tục, đồng biến trên đoạn $[a,b]$. Khẳng định nào sau đây là đúng?
A. Hàm số đã cho có giá trị lớn nhất, giá trị nhỏ nhất trên khoảng $(a,b).
B. Hàm số đã cho có cực trị trên đoạn
.
C. Hàm số đã cho có giá trị lớn nhất, giá trị nhỏ nhất trên đoạn
.
D. Phương trình
có nghiệm duy nhất thuộc đoạn $[a,b]$.
Câu 4: Cho hàm số
có bảng biến thiên như hình vẽ bên. Khẳng định nào sau đây là đúng?
A. Hàm số có hai điểm cực trị.
B. Hàm số nghịch biến trên mỗi khoảng xác định.
C. Hàm số có một điểm cực trị.
D. Giá trị lớn nhất của hàm số là 3.
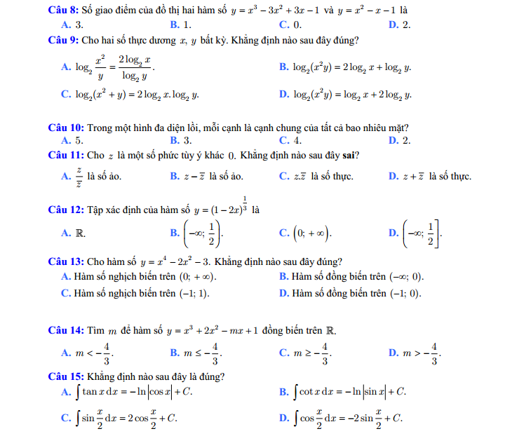
Câu 8: Số giao điểm của đồ thị hai hàm số
và $y=x^{2}-x-1$ là
| A. 3 | B. 1 | C. 0 | D. 2 |
Câu 33: Cho hình lăng trụ tam giác đều
có $AA'=a \sqrt{3}$. Gọi I là giao điểm của $AB'$ và $A'B$. Cho biết khoảng cách từ I đến mặt phẳng $(BCC'B')$ bằng $ \frac{a\sqrt{3}}{2}$. Tính thể tích khối lăng trụ $ABC.A'B'C'$.
| A. | C. |
| B. | D. |








