Giải bài 1: Nguyên hàm
Bài học với nội dung kiến thức về Nguyên hàm. Một kiến thức mới đòi hỏi các bạn học sinh cần nắm được lý thuyết để vận dụng giải quyết các bài toán. Dựa vào cấu trúc SGK toán lớp 12, KhoaHoc sẽ tóm tắt lại hệ thống lý thuyết và hướng dẫn giải các bài tập 1 cách chi tiết, dễ hiểu. Hi vọng rằng, đây sẽ là tài liệu hữu ích giúp các em học tập tốt hơn
A. Tổng hợp kiến thức
I. Nguyên hàm và tính chất
1. Nguyên hàm
- Cho hàm số f(x) xác định trên K.
- Hàm số F(x) được gọi là nguyên hàm của hàm f(x) trên K nếu F'(x) = f(x) với mọi
.
Định lí 1
- Nếu F(x) là một nguyên hàm của hàm số f(x) trên K thì với mỗi hằng số C , hàm số G(x) = F(x) + C cũng là một nguyên hàm của f(x) trên K.
Định lí 2
- Nếu F(x) là một nguyên hàm của hàm số f(x) trên K thì mọi nguyên hàm của f(x) trên K đều có dạng F(x) + C, với C là một hằng số.
- Ký hiệu:

Biểu thức f(x)dx là vi phân của nguyên hàm F(x) của f(x).
2. Tính chất nguyên hàm
Tính chất 1
|
Tính chất 2
Tính chất 3
Chú ý: Sự tồn tại của nguyên hàm
- Mọi hàm số f(x) liên tục trên K đều có nguyên hàm trên K.
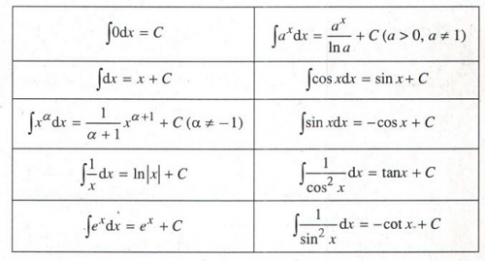
3. Bảng nguyên hàm

II. Phương pháp tính nguyên hàm
1. Phương pháp đổi biến số
Định lí 1
- Nếu
và $u=u(x)$ là hàm số có đạo hàm liên tục thì $\int f(u(x))u'(x)dx=F(u(x))+C$
Hệ quả
2. Phương pháp tính nguyên hàm từng phần
Định lí 2
- Nếu hai hàm số
và $v=v(x)$ có đạo hàm liên tục trên K thì:
- Hay:
với $ v'(x)dx=dv,u'(x)dx=du$
B. BÀI TẬP VÀ HƯỚNG DẪN GIẢI
Kiến thức thú vị
Câu 1:Trang 100 - sgk giải tích 12
Trong các cặp hàm số dưới đây, hàm số nào là nguyên hàm của hàm số còn lại?
a)
và $-e^{-x}$
b)
và $\sin^{2} x$
c)
và $(1-\frac{4}{x})e^{x}$
Câu 2:Trang 100 - sgk giải tích 12
Tìm nguyên hàm của các hàm số sau?
a) ![f(x)=\frac{x+\sqrt{x}+1}{\sqrt[3]{x}}](https://i.khoahoc.com.vn/data/image/holder.png)
b) ![]()
c) ![]()
d) ![]()
e) ![]()
g) ![]()
h) ![]()
Câu 3: Trang 101 - sgk giải tích 12
Sử dụng phương pháp biến số, hãy tính:
a)
đặt $u=1-x$
b)
đặt $u=1+x^{2}$
c)
đặt t=\cos x$
d)
đặt $u=e^{x}+1$
Câu 4: Trang 101 - sgk giải tích 12
Sử dụng phương pháp tính nguyên hàm từng phần, hãy tính:
a) ![]()
b) ![]()
c) ![]()
d) ![]()