- Tất cả
-
Tài liệu hay -
Toán Học -
Soạn Văn - Soạn đầy đủ
- Tiếng Việt 2 tập 2 KNTT
- Tiếng Việt 2 CTST
- Tiếng Việt 2 sách Cánh Diều
- Tiếng Việt 3 tập 2
- Tiếng Việt 3 tập 1
- Tiếng Việt 4 tập 2
- Tiếng Việt 4 tập 1
- Tiếng Việt 5 tập 2
- Tiếng Việt 5 tập 1
- Soạn văn 6
- Soạn văn 7
- Soạn văn 8 tập 1
- Soạn văn 8 tập 2
- Soạn văn 9 tâp 1
- Soạn văn 9 tập 2
- Soạn văn 10 tập 1
- Soạn văn 10 tập 2
- Soạn văn 11
- Soạn văn 12
- Soạn ngắn gọn
- Soạn văn 12 ngắn gọn tập 1
- Soạn văn 12 ngắn gọn tập 2
- Soạn văn 11 ngắn gọn tập 1
- Soạn văn 11 ngắn gọn tập 2
- Soạn văn 10 ngắn gọn tập 1
- Soạn văn 10 ngắn gọn tập 2
- Soạn văn 9 ngắn gọn tập 1
- Soạn văn 9 ngắn gọn tập 2
- Soạn văn 8 ngắn gọn tập 1
- Soạn văn 8 ngắn gọn tập 2
- Soạn văn 7 ngắn gọn tập 1
- Soạn văn 7 ngắn gọn tập 2
- Ngữ văn VNEN
- Đề thi THPT QG môn Ngữ Văn
- Soạn đầy đủ
-
Tiếng Anh -
Vật Lý -
Hóa Học -
Sinh Học -
Lịch Sử -
Địa Lý -
GDCD -
Khoa Học Tự Nhiên -
Khoa Học Xã Hội
-
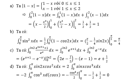
Giải câu 2 bài: Tích phân
Câu 2:Trang 112 - sgk giải tích 12
Tính các tích phân sau:
a) 
b) 
c) 
d) 
Bài làm:

Cập nhật: 07/09/2021
Xem thêm bài viết khác
- Giải câu 2 bài: Ứng dụng của tích phân trong hình học
- Giải câu 1 bài: Ôn tập chương 3
- Giải câu 7 bài 5: Khảo sát sự biến thiên và vẽ đồ thị của hàm số
- Giải câu 2 bài 2: Sự đồng biến, nghịch biến của hàm số
- Giải bài 3: Phép chia số phức
- Dạng 1: Tìm điều kiện của tham số để hàm phân thức đồng biến trên từng khoảng xác định
- Dạng 2: Giải bất phương trình mũ và lôgarit bằng phương pháp lôgarit hai vế
- Giải câu 4 bài: Ứng dụng của tích phân trong hình học
- Giải câu 3 bài 3: Giá trị lớn nhất và giá trị nhỏ nhất của hàm số
- Giải câu 5 bài 2: Cực trị của hàm số
- Dạng 4: Tính đơn điệu của hàm hợp
- Giải câu 3 bài: Ôn tập chương 3