Giải bài: Ôn tập chương 3 - nguyên hàm, tích phân và ứng dụng
Bài học với nội dung tổng hợp kiến thức trong chương 3: Nguyên hàm. Tích phân và ứng dụng. Dựa vào cấu trúc SGK toán lớp 12, KhoaHoc sẽ tóm tắt lại hệ thống lý thuyết và hướng dẫn giải các bài tập 1 cách chi tiết, dễ hiểu. Hi vọng rằng, đây sẽ là tài liệu hữu ích giúp các em học tập tốt hơn
A. Tổng hợp kiến thức
I. Nguyên hàm
1. Các tính chất nguyên hàm
Tính chất 1
|
Tính chất 2
Tính chất 3
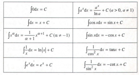
2. Bảng giá trị nguyên hàm cơ bản

3. Phương pháp tính nguyên hàm
- Phương pháp đổi biến số
- Phương pháp tính nguyên hàm từng phần
II. Tích phân
1. Các tính chất
Tính chất 1
![]() |
Tính chất 2
![]() |
Tính chất 3
![]() |
2. Phương pháp tính tích phân
- Phương pháp đổi biến số
- Phương pháp tính tích phân từng phần
III. Ứng dụng tích phân trong hình học
1. Tính diện tích hình phẳng
- Hình giới hạn bởi một đường cong và trục hoành
|
- Hình giới hạn bởi hai đường cong
![]() |
2. Tính thể tích
- Thể tích của vật thể
![]() |
- Thể tích khối chóp và khối chóp cụt
![]() với |
- Thể tích khối tròn xoay
![]() |
B. BÀI TẬP VÀ HƯỚNG DẪN GIẢI
Kiến thức thú vị
Câu 1:Trang 126-sgk giải tích 12
a) Phát biểu định nghĩa nguyên hàm của hàm số f(x) trên một khoảng.
b) Nêu phương pháp tính nguyên hàm từng phần. Cho ví dụ minh họa.
Câu 2:Trang 126-sgk giải tích 12
a) Phát biểu định nghĩa tích phân của hàm số f(x) trên một đoạn.
b) Nêu các tính chất của tích phân. Cho ví dụ minh họa.
Câu 3:Trang 126-sgk giải tích 12
Tìm nguyên hàm của các hàm số sau:
a) ![]()
b) ![]()
c) ![]()
d) ![]()
Câu 4:Trang 126-sgk giải tích 12
Tính:
a) ![]()
b) 
c) ![]()
d) ![]()
e) 
g) ![]()
Câu 5:Trang 127-sgk giải tích 12
Tính:
a) 
b) ![\int_{1}^{64}\frac{1+\sqrt{x}}{\sqrt[3]{x}}dx](https://i.khoahoc.com.vn/data/image/holder.png)
c) 
d) 
Câu 6:Trang 127-sgk giải tích 12
Tính:
a) 
b) 
c) 
d) 
e) 
g) 
=> Câu hỏi và bài tập trắc nghiệm toán 12 bài Ôn tập chương 3 - nguyên hàm, tích phân và ứng dụng
Xem thêm bài viết khác
- Giải câu 1 bài: Ôn tập chương 3
- Giải câu 1 bài: Hàm số mũ. Hàm số Lôgarit
- Giải câu 9 bài: Ôn tập chương 4
- Tính giá trị biểu thức số phức
- Giải câu 2 bài 5: Khảo sát sự biến thiên và vẽ đồ thị của hàm số
- Giải câu 4 bài: Ứng dụng của tích phân trong hình học
- Tìm điều kiện của tham số để hàm số thoả mãn một điều kiện nào đó về số lượng các điểm cực trị (cực đại, cực tiểu).
- Dạng 2: Dùng tính đơn điệu để chứng minh bất đẳng thức chứa mũ và lôgarit
- Giải câu 2 bài: Phương trình bậc hai với hệ số thực
- Giải câu 2 bài: Hàm số mũ. Hàm số Lôgarit
- Giải câu 1 bài: Phương trình mũ. Phương trình Lôgarit
- Giải câu 4 bài: Phương trình bậc hai với hệ số thực